Bộ câu hỏi ôn thi đánh giá năng lực phần Khoa học - Số 1
ĐGNL năm 2025
Lớp:
ĐGNL-ĐGTD
Dạng tài liệu:
Đề thi
Loại:
Tài liệu Lẻ
Loại File:
Word + PDF
Phân loại:
Tài liệu Tính phí

Trang 1 | 38
Bộ câu hỏi ôn thi đánh giá năng lực phần Khoa học
Phần thi thứ ba: KHOA HỌC
Chủ đề Vật lí có 17 câu hỏi
Cho đồ thị dịch chuyển – thời gian của một vật như hình dưới. Trong những khoảng thời gian
nào, vật chuyển động thẳng đều?
A. Trong khoảng thời gian từ 0 đến t1 và từ t1 đến t2.
B. Trong khoảng thời gian từ t1 đến t2
C. Trong khoảng thời gian từ 0 đến t3
D. Trong khoảng thời gian từ 0 đến t1 và từ t2 đến t3.
Lời giải:
Đáp án đúng là D
Trong khoảng thời gian từ 0 đến t1: độ dốc đồ thị dương, vật chuyển động thẳng đều theo chiều
dương.
Trong khoảng thời gian từ t1 đến t2: đồ thị nằm ngang, song song với trục thời gian, vật đứng
yên.
Trong khoảng thời gian từ t2 đến t3: độ dốc đồ thị âm, vật chuyển động thẳng đều theo chiều
ngược lại.
Câu 80:
Xét hai xe A và B chuyển động cùng nhau vào hầm Thủ Thiêm dài 1 490 m. Xe A chuyển động
với tốc độ ban đầu trước khi vào hầm là 60 km/h và chuyển động chậm dần đều với gia tốc 144
km/h2, xe B chuyển động chậm dần đều với gia tốc 120 km/h2 từ lúc bắt đầu chạy vào hầm với
tốc độ 55 km/h. Nhận định nào sau đây là đúng về thời gian chuyển động của hai xe trong hầm?
A. Hai xe đi hết hầm Thủ Thiêm cùng một khoảng thời gian.
B. Xe B ra khỏi hầm trước xe A.

Trang 2 | 38
C. Xe A ra khỏi hầm trước xe B.
D. Dữ liệu bài toán không đủ kết luận.
Lời giải:
Đáp án đúng là C
Đổi: 60 km/h = ; ; ;
Xét xe A:
Xét xe B:
Vậy xe A ra khỏi hầm trước xe B.
Câu 81:
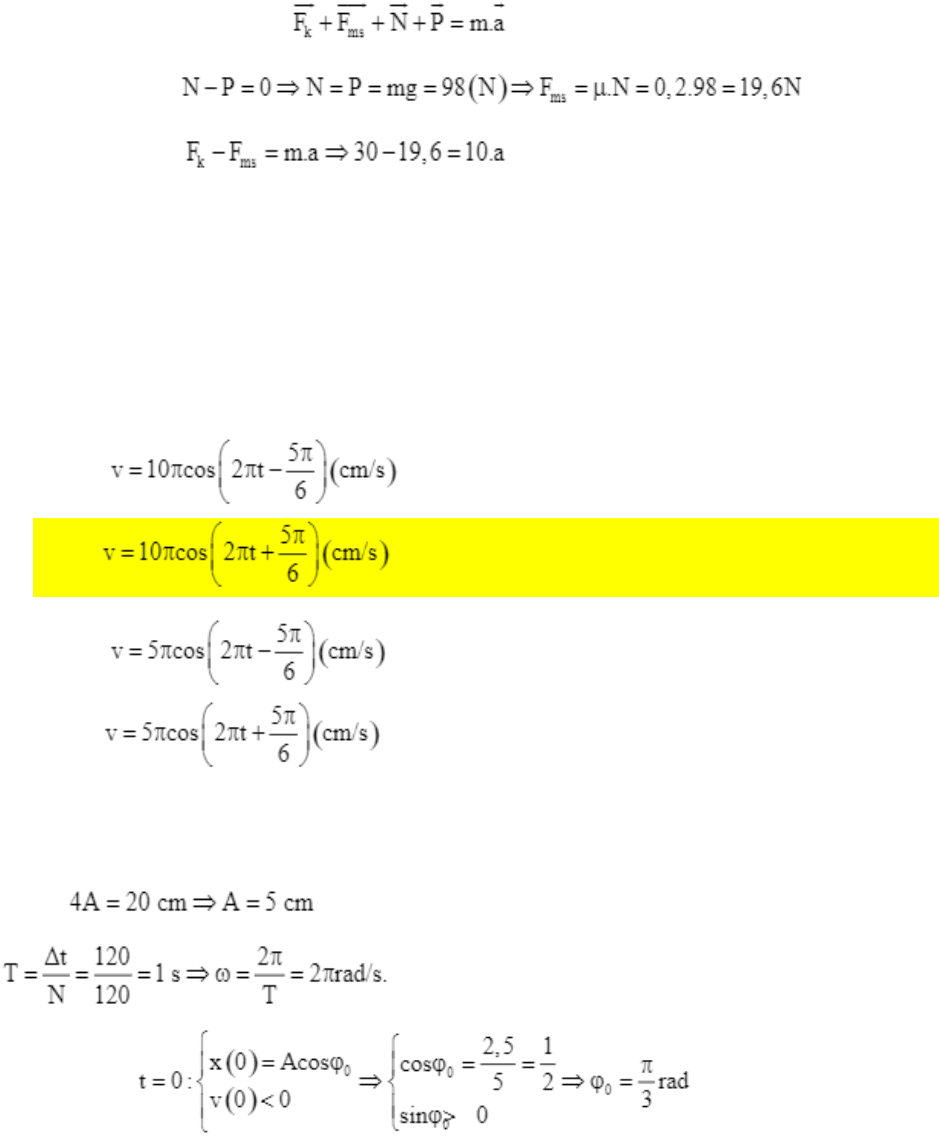
Một vật có khối lượng 10 kg đặt lên mặt sàn nằm ngang. Một người tác dụng một lực 30 N kéo
vật theo phương ngang, hệ số ma sát trượt giữa vật và sàn có giá trị 0,2. Lấy giá trị của gia tốc
trọng trường là 9,8 m/s2. Tính gia tốc của vật (nhập đáp án vào ô trống, làm tròn đến hàng đơn
vị).
Lời giải:

Trang 3 | 38
Chọn hệ quy chiếu Oxy sao cho chiều dương (+) Ox là chiều chuyển động, Oy vuông góc với
Ox.
Áp dụng định luật II Newton:
Chiếu lên trục Oy:
Chiếu lên trục Ox:
Từ đây, ta có: a = 1,04 m/s2
Đáp án: a = 1,04 m/s2.
Câu 82:
Xét một vật dao động điều hoà, trong một chu kì dao động vật đi được quãng đường 20 cm.
Trong 2 phút, vật thực hiện được 120 dao động. Tại thời điểm ban đầu, vật đi qua vị trí có li độ
2,5 cm và đang hướng về vị trí cân bằng. Phương trình vận tốc của vật có dạng là
A. .
B. .
C. .
D. .
Lời giải:
Đáp án đúng là B
Ta có: .
Tại thời điểm
Đề ôn thi đánh giá năng lực phần Khoa học
Bộ câu hỏi ôn thi đánh giá năng lực HSA phần Khoa học - Số 1 có đáp án được VnDoc.com tổng hợp và xin gửi tới bạn đọc cùng tham khảo. Bài viết tổng hợp gồm có 50 câu hỏi trắc nghiệm phần Khoa học. Đề có đáp án và lời giải chi tiết kèm theo. Mời các bạn cùng theo dõi bài viết dưới đây để có thêm tài liệu ôn thi đánh giá năng lực nhé.