Bộ câu hỏi ôn thi đánh giá năng lực phần Tư duy định lượng - Số 12
ĐGNL năm 2025
Lớp:
ĐGNL-ĐGTD
Môn:
Toán
Dạng tài liệu:
Đề thi
Loại:
Tài liệu Lẻ
Loại File:
Word + PDF
Phân loại:
Tài liệu Tính phí

Trang 1 | 39
Bộ câu hỏi ôn thi đánh giá năng lực phần Tư duy định lượng
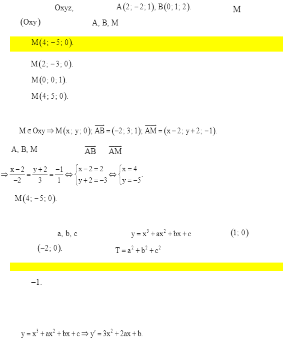
Câu 1:
Trong không gian m T m thuc mt
phng m thng hàng là:
A.
B.
C.
D.
Lời giải:
Ta có
thng hàng thì và
Vy Chọn A.
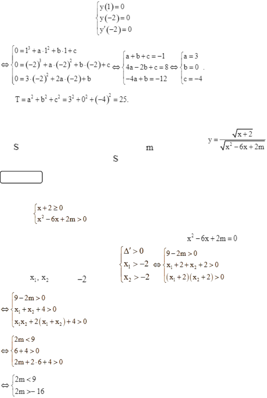
Câu 2:
nh các h s th hàm s m và có
m cc tr Giá tr biu thc l
:
A. 25.
B.
C. 7.
D. 14.
Lời giải:
Ta có:

Trang 2 | 39
, ta có h
Vy Chọn A.
Câu 3:
Gi là tp hp các giá tr nguyên ca tham s th hàm s có hai
ng tim cng. S phn t ca là (nhập đáp án vào ô trống):
Lời giải:
u kin: .
th hàm s ng tim c có hai nghim
phân bit l nên ta c
:

Trang 3 | 39
.
p có 12 giá tr.
Đáp án cần nhập là: 12.
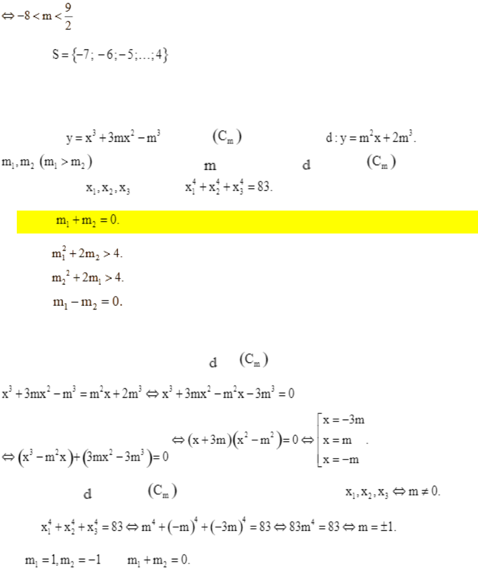
Câu 4:
Cho hàm s th ng thng Bit rng
là hai giá tr thc ca ng thng c th tm phân
bi tha mãn Kh
A.
B.
C.
D.
Lời giải:
m ca và , ta c
:
ng thng c th tm phân bi
Vy hay Chọn A.
Câu 5:
Đề ôn thi đánh giá năng lực phần Tư duy định lượng
VnDoc.com xin gửi tới bạn đọc bài viết Bộ câu hỏi ôn thi đánh giá năng lực phần Định lượng - Số 12 có đáp án để bạn đọc cùng tham khảo nhé. Bài viết được tổng hợp gồm có 50 câu hỏi trắc nghiệm phần Toán học và xử lý số liệu. Đề có đáp án và lời giải chi tiết kèm theo. Mời các bạn cùng theo dõi bài viết dưới đây để có thêm tài liệu ôn thi kì thi đánh giá năng lực sắp tới nhé.