Đề ôn thi đánh giá năng lực Đại học Quốc gia Hà Nội 2025 - Đề 13
ĐGNL năm 2025
Lớp:
ĐGNL-ĐGTD
Dạng tài liệu:
Đề thi
Loại:
Tài liệu Lẻ
Loại File:
Word + PDF
Phân loại:
Tài liệu Tính phí

Trang 1 | 140
Đề thi Đánh giá năng lực ĐHQG Hà Nội form 2025 có đáp
án (Đề 13)
Câu 1:
Một nhóm học sinh lớp 10 trả lời một cuộc khảo sát về khoá học toán mà họ đang theo học. Dữ
liệu khảo sát được chia nhỏ như trong bảng sau:
Môn hc
Tng
Đi s I
Hnh hc
Đi s II
Gii tnh
N
35
53
62
150
Nam
44
59
57
160
Tng cộng
79
112
119
310
Đáp án nào dưới đây chiếm khoảng 19% tổng số người trả lời khảo sát?
A. Học sinh nữ học Hình học.
B. Học sinh nữ học Đại số II.
C. Học sinh nam học Hình học.
D. Học sinh nam học Đại số I.
Lời giải:
Ta thy tổng số người khảo sát tương ng với học sinh nam học Hình học.
Chn C.
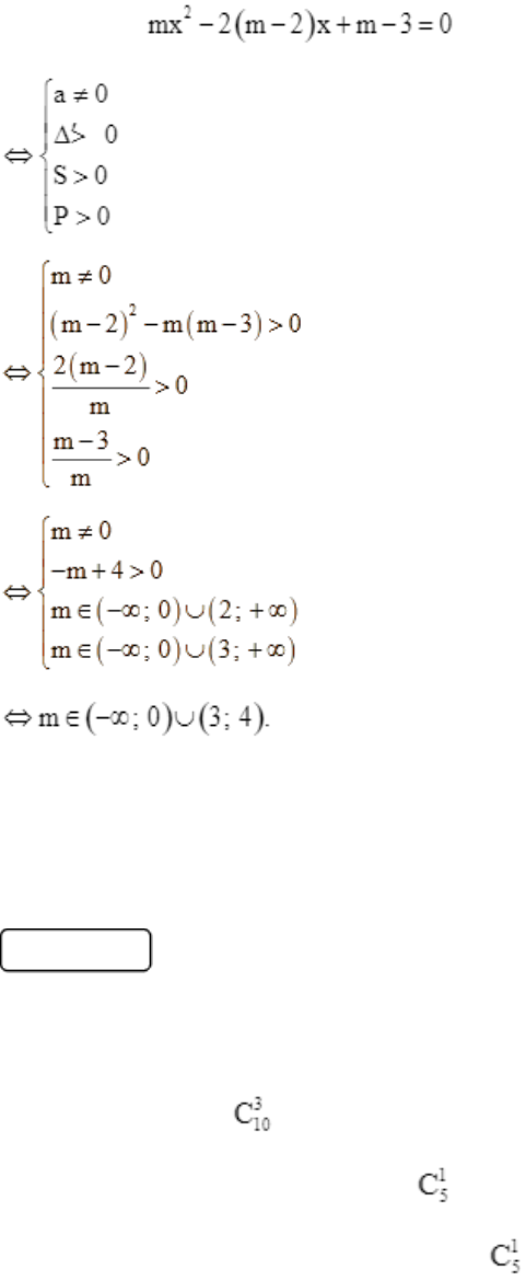
Câu 2:
Tìm tt cả các giá trị thực của tham số để phương trình có hai
nghiệm dương phân biệt?
A. 3 > m > 4
B. m > 4
C.

Trang 2 | 140
D. m < 0
Lời giải:
Phương trình có 2 nghiệm dương phân biệt
Chn C.
Câu 3:
Một hộp cha 20 quả cầu giống nhau được đánh số từ 1 đến 20. Chọn ra 5 quả cầu từ hộp đó sao
cho có 3 quả ghi số lẻ và 2 quả ghi số chn, trong đó có đúng một quả ghi số chia hết cho 4. Hỏi
có bao nhiêu cách như vy (nhập đáp án vào ô trống)?
Lời giải:
Từ 1 đến 20 có 10 số chn và 10 số lẻ, trong 10 số chn thì có 5 số chia hết cho 4.
• Chọn 3 quả số lẻ có (cách).
• Chọn 1 quả số chn chia hết cho 4 có (cách).
• Chọn 1 quả số chn không chia hết cho 4 có (cách).

Trang 3 | 140
Suy ra có (cách).
Đáp án cần nhập là: 3000.
Câu 4:
Anh Duy làm bồi bàn tại một nhà hàng ở Hà Nội. Với mỗi bàn phục vụ anh y có thể kiếm được
15% hóa đơn. Trong bữa trưa, anh y phục vụ 12 bàn và mỗi bàn có hóa đơn trung bình là
đồng. Biết vào buổi tối, mỗi bàn có hóa đơn trung bình là đồng. Số bàn tối
thiểu mà anh y cần phục vụ để kiếm được ít nht đồng trong ngày là:
A. 32.
B. 16.
C. 18.
D. 20.
Lời giải:
Số bàn anh Duy phục vụ trong bữa tối là
Số tiền anh Duy kiếm được trong bữa trưa là: (đồng).
Số tiền anh Duy kiếm được trong bữa tối là: (đồng).
Tổng số tiền anh Duy kiếm được trong ngày là: (đồng).
Anh Duy kiếm được t nht đồng mỗi ngày khi
Vy số bàn tối thiểu thỏa yêu cầu bài toán là Chn A.
Câu 5:
Trên mặt phẳng tọa độ cho điểm và hai đường thẳng ,
Hai điểm lần lượt thuộc hai đường thẳng sao cho là trung
điểm của đoạn thẳng Đường thẳng có một vectơ chỉ phương là:
A.
B.
Đề thi đánh giá năng lực Đại học Quốc Gia Hà Nội 2025
Đề ôn thi đánh giá năng lực Đại học Quốc gia Hà Nội 2025 - Đề 13 có đáp án là tài liệu hữu ích giúp bạn đọc trau dồi, luyện tập nội dung kiến thức để chuẩn bị thật tốt cho kì thi đánh giá năng lực, đánh giá tư duy sắp tới.
Đề thi được tổng hợp có 150 câu hỏi gồm 50 câu hỏi Toán học và xử lí số liệu/Tư duy định lượng, 50 câu hỏi Văn học - Ngôn ngữ/Tư duy định tính và 50 câu hỏi Khoa học hoặc Tiếng Anh. Thí sinh làm đề trong thời gian 195 phút. Đề có đáp án và lời giải chi tiết kèm theo. Mời các bạn cùng theo dõi đề thi dưới đây.