Bộ câu hỏi ôn thi đánh giá năng lực phần Tư duy định lượng - Số 8
ĐGNL năm 2025
Lớp:
ĐGNL-ĐGTD
Môn:
Toán
Dạng tài liệu:
Đề thi
Loại:
Tài liệu Lẻ
Loại File:
Word + PDF
Phân loại:
Tài liệu Tính phí

Trang 1 | 39
Bộ câu hỏi ôn thi đánh giá năng lực phần Tư duy định lượng
Câu 1:
Hi Lim (tnh Bc Ninh) vào u,
ng quanh v trí cân bng (xem hình v). Nghiên c
i ta thy khong cách (m) t n v trí cân bc biu din qua
thi gian (giây) (vi ) bi h thc vi c
khi v trí cân bng ng hc li (Nguồn: R.
Larson and B. Edwards, Calculus 10e Cengage). Tìm thu tiên mà khong cách là ln
nht (nhập đáp án vào ô trống, đơn vị: giây).
Lời giải:
Do nên hay vi mi .
. Vy ln nht bng 3 khi hay
vi .
Thu tiên mà khong cách ln nht là giây (ng vi ).
Đáp án cần nhập là: .

Trang 2 | 39
Câu 2:
Tìm có hai nghim phân bit.
A. .
B. .
C. .
D. .
Lời giải:
Ta có: .
có hai nghim phân bit thì
hay .
Tam thc bc hai có a = 1 > 0 và có hai nghim .
khi .
Vm phân bit khi . Chọn A.
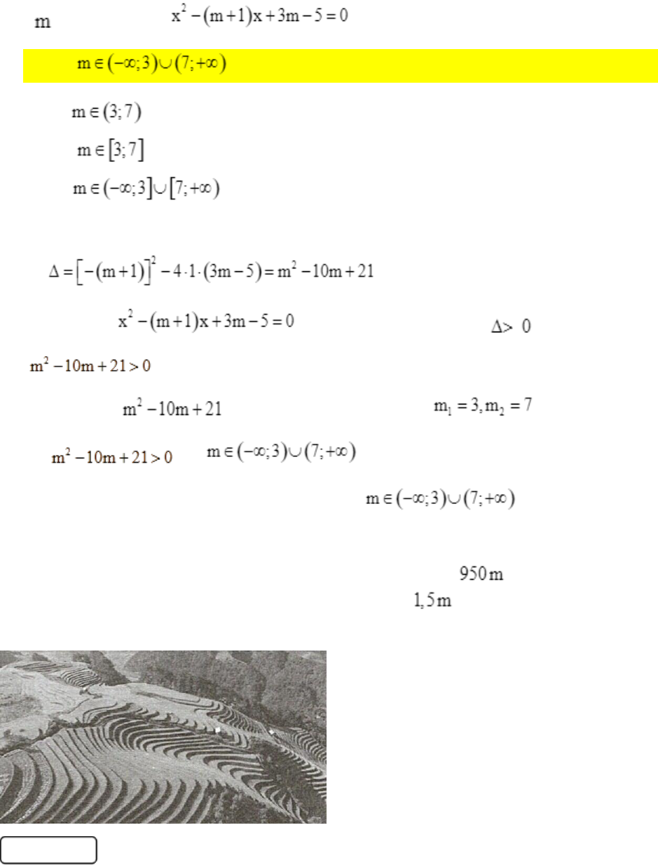
Câu 3:
Mt rung bc thang có tha thp nht (bc th nht) nm cao so vi mc
bi chênh lch gia tha trên và thi trung bình là . Hi tha rung bc th 12
cao là bao nhiêu mét so vi mc bin (nhập đáp án vào ô trống)?

Trang 3 | 39
Lời giải:
Kí hiu là chiu cao so vi mc bin ca tha rung bc th .
là mt cp s cng vi và .
Ta có .
Vy tha rung bc th cao 966,5 m so vi mc bin.
Đáp án cần nhập là: .
Câu 4:
Mt du khách vào chuc, lt ng, mi ln sau tit gp
n tin liên tip và thng ln th 10. Hi du khách trên
thng hay thua bao nhiêu?
A. Hòa vn.
B. Thua ng
C. Thng ng.
D. Thua ng.
Lời giải:
S tit trong mi ln (k t lu) là mt cp s nhân có và công
bi .
Du khách thua trong 9 lu tiên nên tng s tin thua là:
ng).
S tin mà du khách thng trong ln th là ng).
Ta có nên du khách thng . Chọn C.
Câu 5:
Đề ôn thi đánh giá năng lực phần Tư duy định lượng
Bộ câu hỏi ôn thi đánh giá năng lực phần định lượng - Số 8 có đáp án là tài liệu hữu ích giúp bạn đọc có thể trau dồi, luyện tập nội dung kiến thức để chuẩn bị thật tốt cho kì thi đánh giá năng lực sắp tới nhé. Bài viết được tổng hợp gồm có 50 câu hỏi phần Toán học và xử lý số liệu. Đề có đáp án và lời giải chi tiết kèm theo. Mời các bạn cùng theo dõi bài viết dưới đây.