Đề ôn thi đánh giá năng lực Đại học Quốc gia Hà Nội 2025 - Đề 5
ĐGNL năm 2025
Lớp:
ĐGNL-ĐGTD
Dạng tài liệu:
Đề thi
Loại:
Tài liệu Lẻ
Loại File:
Word + PDF
Phân loại:
Tài liệu Tính phí

Trang 1 | 141
Đề thi Đánh giá năng lực ĐHQG Hà Nội form 2025 có đáp
án (Đề 5)
Câu 1:
Phần thi thứ nhất: Toán học và Xử lí số liệu
Hàng ngày mực nước tại một cảng biển lên xuống theo thủy triều. Độ sâu của mực nước
theo thời gian (giờ) trong một ngày cho bởi công thức:
với .
Tìm thời điểm (giờ) mà mực nước tại cảng là cao nhất (nhập đáp án vào ô trống).
Lời giải:
Do nên hay .
Vậy mực nước tại cảng cao nhất bằng 23m khi
.
Mà nên . Thời điểm mà mực nước tại cảng cao nhất là (giờ).
Đáp án cần nhập là: .
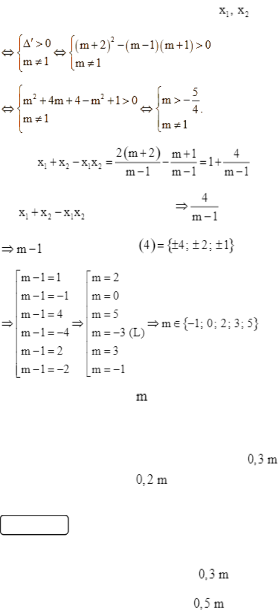
Câu 2:
Cho phương trình , với là tham số. Có bao nhiêu giá trị
nguyên của tham số để phương trình có hai nghiệm phân biệt sao cho
là một số nguyên?
A. 3.
B. 4.
C. 5.
D. 6.

Trang 2 | 141
Lời giải:
Phương trình đã cho có hai nghiệm phân biệt
Khi đó .
Để là một số nguyên là một số nguyên.
là ước của 4, mà Ư .
.
Vậy có 5 giá trị nguyên của thoả mãn yêu cầu bài toán. Chọn C.
Câu 3:
Một hội trường A của một trường đại học có 600 chỗ ngồi và các hàng ghế được xếp theo dạng
bậc thang, hàng ghế đầu tiên có 15 chỗ ngồi và cao so với mặt nền. Mỗi hàng ghế sau có
thêm 3 chỗ ngồi và cao hơn so với hàng ghế ngay trước nó. Hỏi hàng ghế cuối cùng của
hội trường đó s cao bao nhiêu mét so với mặt nền (nhập đáp án vào ô trống)?
Lời giải:
Hàng ghế đầu tiên có 15 chỗ ngồi và cao so với mặt nền.
Hàng ghế thứ hai có 18 chỗ ngồi và cao so với mặt nền.

Trang 3 | 141
Hàng ghế thứ hai có 21 chỗ ngồi và cao so với mặt nền.
.....
Dễ thấy, số ghế ngồi và độ cao của mỗi hàng ghế lập thành các cấp số cộng.
Xét số ghế ngồi: và công sai nên với là số hàng
ghế (điều kiện: ). Suy ra . Do đó, có 16 hàng ghế.
Xét độ cao của các hàng ghế có: và .
Suy ra hàng ghế cuối cùng cao so với mặt nền là
Đáp án cần nhập là: 3,3.
Câu 4:
Một người chơi nhảy bungee trên một cây cầu với một sợi dây dài . Sau mỗi lần rơi
xuống, người chơi được kéo lên một quãng đường có độ dài bằng 80% so với lần rơi trước và lại
rơi xuống đúng bằng quãng đường vừa được kéo lên. Tổng quãng đường đi lên của người đó sau
10 lần được kéo lên gần nhất với giá trị nào trong các giá trị dưới đây?
A. .
B. .
C. .
D. .
Lời giải:
Gọi là quãng đường đi lên của người đó sau lần kéo lên.
Sau lần rơi đầu tiên, quãng đường đi lên của người đó là (m).
Sau lần rơi thứ hai, quãng đường đi lên của người đó là (m).
Sau lần rơi thứ ba, quãng đường đi lên của người đó là (m). …
Khi đó, dãy số là một cấp số nhân có số hạng đầu và công bội
Tổng quãng đường đi lên của người đó sau 10 lần được kéo lên là:
Đề thi đánh giá năng lực Đại học Quốc Gia Hà Nội 2025
Đề ôn thi đánh giá năng lực Đại học Quốc gia Hà Nội 2025 - Đề 5 được VnDoc.com tổng hợp và xin gửi tới bạn đọc cùng tham khảo. Đề thi được tổng hợp có 150 câu hỏi gồm 50 câu hỏi Toán học và xử lí số liệu/Tư duy định lượng, 50 câu hỏi Văn học - Ngôn ngữ/Tư duy định tính và 50 câu hỏi Khoa học hoặc Tiếng Anh. Thí sinh làm đề trong thời gian 195 phút. Đề có đáp án và lời giải chi tiết kèm theo. Mời các bạn cùng theo dõi đề thi dưới đây để có thêm tài liệu ôn thi đánh giá năng lực, đánh giá tư duy sắp tới nhé.