Đề ôn thi đánh giá năng lực Đại học Quốc gia Hà Nội 2025 - Đề 12
ĐGNL năm 2025
Lớp:
ĐGNL-ĐGTD
Dạng tài liệu:
Đề thi
Loại:
Tài liệu Lẻ
Loại File:
Word + PDF
Phân loại:
Tài liệu Tính phí

Trang 1 | 141
Đề thi Đánh giá năng lực ĐHQG Hà Nội form 2025 có đáp
án (Đề 12)
Câu 1:
Trong không gian cho hai điểm Tọa độ điểm thuộc mặt
phẳng sao cho ba điểm thẳng hàng là:
A.
B.
C.
D.
Lời giải:
Ta có
Để thẳng hàng thì và cùng phương
Vậy Chọn A.
Câu 2:
Xác định các hệ số để đồ thị hàm số đi qua điểm và có
điểm cực trị Giá trị biểu thức l:
A. 25.
B.
C. 7.
D. 14.
Lời giải:

Trang 2 | 141
Ta có:
Theo đề, ta có hệ phương trình:
Vậy Chọn A.
Câu 3:
Gọi là tập hợp các giá trị nguyên của tham số để đồ thị hàm số có hai
đường tiệm cận đứng. Số phần tử của là (nhập đáp án vào ô trống):
Lời giải:
Điều kiện: .
Để đồ thị hàm số có hai đường tiệm cận đứng thì phương trình có hai nghiệm
phân biệt lớn hơn nên ta có:

Trang 3 | 141
.
Do đó tập có 12 giá trị.
Đáp án cần nhập là: 12.
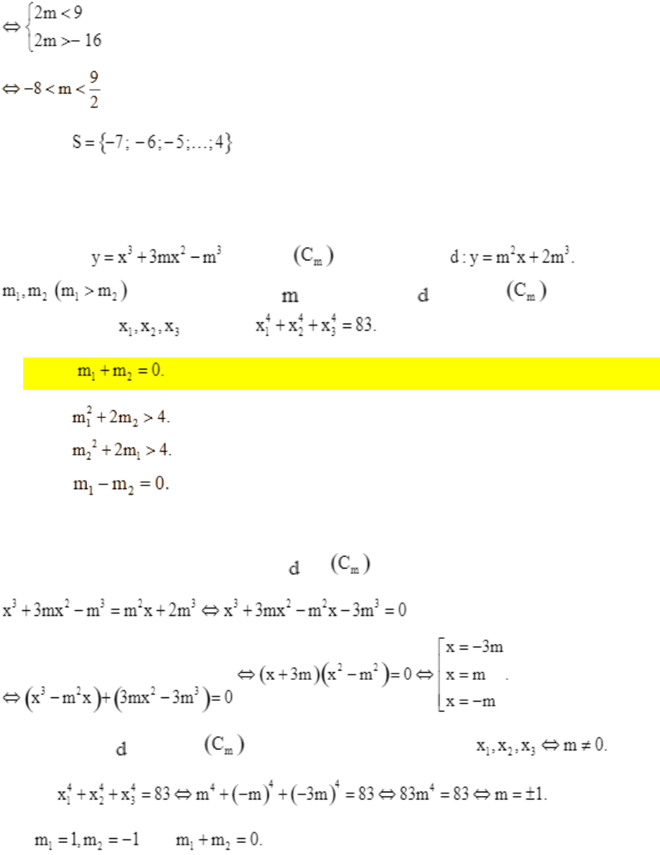
Câu 4:
Cho hàm số có đồ thị v đường thẳng Biết rằng
là hai giá trị thực của để đường thẳng cắt đồ thị tại 3 điểm phân
biệt có honh độ thỏa mãn Khẳng định no dưới đây đúng?
A.
B.
C.
D.
Lời giải:
Xét phương trình honh độ giao điểm của và , ta có:
Để đường thẳng cắt đồ thị tại 3 điểm phân biệt có honh độ
Khi đó,
Vậy hay Chọn A.
Câu 5:
Đề thi đánh giá năng lực Đại học Quốc Gia Hà Nội 2025
VnDoc.com xin gửi tới bạn đọc bài viết Đề ôn thi đánh giá năng lực Đại học Quốc gia Hà Nội 2025 - Đề 12 có đáp án kèm theo để bạn đọc cùng tham khảo và có thêm tài liệu ôn thi kì thi đánh giá năng lực, đánh giá tư duy sắp tới nhé. Đề thi được tổng hợp có 150 câu hỏi gồm 50 câu hỏi Toán học và xử lí số liệu/Tư duy định lượng, 50 câu hỏi Văn học - Ngôn ngữ/Tư duy định tính và 50 câu hỏi Khoa học hoặc Tiếng Anh. Thí sinh làm đề trong thời gian 195 phút. Đề có đáp án và lời giải chi tiết kèm theo. Mời các bạn cùng theo dõi đề thi dưới đây.