Bộ câu hỏi ôn thi đánh giá năng lực phần Khoa học - Số 6
ĐGNL năm 2025
Lớp:
ĐGNL-ĐGTD
Dạng tài liệu:
Đề thi
Loại:
Tài liệu Lẻ
Loại File:
Word + PDF
Phân loại:
Tài liệu Tính phí

Trang 1 | 38
Bộ câu hỏi ôn thi đánh giá năng lực phần Khoa học
Câu 81:
Phần thi thứ ba: KHOA HỌC
Chủ đề Vật lí có 17 câu hỏi
Da vào bng ghi s i vn tc theo thi gian ca mt ô tô chng thng
Vn tc (m/s)
0
10
30
30
30
10
0
Thi gian ( s)
0
5
10
15
20
25
30
Gia tc ca ô tô trong 5 s cui.
A. 2,5 m/s2.
B. 2 m/s2.
C. -3 m/s2.
D. -2 m/s2.
Lời giải:
Đáp án đúng là D
Gia tc ca ô tô trong 5 s cui:
Câu 82:
Chuy do?
A. Chuyng ca mt viên bi sm ngang.
B. Chuyng ca mt viên bi s
C. Chuyng ca mt viên bi sc th
D. Chuyng ca mt viên bi sc ném lên cao.
Lời giải:
Đáp án đúng là C
A chuyng ném ngang

Trang 2 | 38
B chuyng ném xiên
C do
D chuyng chm du.
Câu 83:
Mt toa tàu có khng 60 tn chuyng thi tác dng ca lc kéo cu tàu
m ngang F = 4,5.104 N. Ly g = 10 m/s2. H s ma sát ging ray là
A. 0,075.
B. 0,06.
C. 0,15.
D. 0,015.
Lời giải:
Đáp án đúng là A
Vì toa tàu chuyng thu nên:
Vì: Fkéo = Fma sát
Câu 84:
Mc thit k kéo mt thùng than nng 400 kg t i m sâu 200 m
lên mt trong thi gian 2 phút. Hiu sut ct toàn phn cng
A. 8,2 kW.
B. 6,5 kW.
C. 82 kW.
D. 65 kW.
Lời giải:
Đáp án đúng là A
L ln bng trng ca vt.
Công sut có ích:
Hiu sut:

Trang 3 | 38
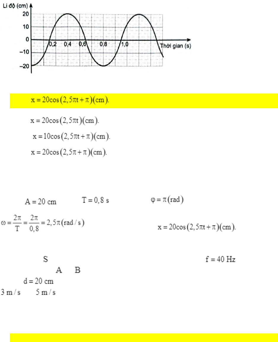
Câu 85:
th theo thi gian ca mt chc mô t .
ng ca vt có dng
A.
B.
C.
D.
Lời giải:
Đáp án đúng là A
; chu kì u .
ng:
Câu 86:
Mn chm nh vào mu hoà vi tn s i ta
thy rm và trên mc cùng nn sóng cách nhau mt
khong c pha nhau. Bit t truyn sóng nm trong khong t
n nh t truyn sóng.
A. 4,5 m/s.
B. 2 m/s
C. 5,3 m/s.
D. 3,2 m/s.
Lời giải:
Đề ôn thi đánh giá năng lực phần Khoa học
VnDoc.com xin gửi tới bạn đọc bài viết Bộ câu hỏi ôn thi đánh giá năng lực HSA phần Khoa học - Số 6 có đáp án kèm theo để bạn đọc cùng tham khảo. Bài viết tổng hợp gồm có 50 câu hỏi trắc nghiệm phần Khoa học với các môn Vật lí, Hóa học, Sinh học, Địa lí và Lịch sử. Đề có đáp án và lời giải chi tiết kèm theo. Mời các bạn cùng theo dõi bài viết dưới đây để có thêm tài liệu ôn thi kì thi đánh giá năng lực sắp tới nhé.