Đề ôn thi đánh giá năng lực Đại học Quốc gia Hà Nội 2025 - Đề 6
ĐGNL năm 2025
Lớp:
ĐGNL-ĐGTD
Dạng tài liệu:
Đề thi
Loại:
Tài liệu Lẻ
Loại File:
Word + PDF
Phân loại:
Tài liệu Tính phí

Trang 1 | 143
Đề thi Đánh giá năng lực ĐHQG Hà Nội form 2025 có đáp
án (Đề 6)
Câu 1:
Một cây cầu có dạng cung của đồ thị hàm số và được mô tả trong hệ trục toạ
độ với đơn vị trục là mét như ở hình vẽ dưới.
Một sà lan chở khối hàng hoá được xếp thành hình hộp chữ nhật với độ cao so với mực
nước sông. Hỏi chiều rộng của khối hàng hoá đó lớn nhất là bao nhiêu mét để sà lan có thể đi
qua được gầm cầu (nhập đáp án vào ô trống, làm tròn kết quả đến hàng đơn vị)?
Lời giải:
Với mỗi điểm nằm trên mặt cầu, khoảng cách từ điểm đến mặt nước tương ứng với
giá trị tung độ của điểm .
Xét phương trình: . Do nên .
Từ phương trình với , ta có . Khi đó, .
Vậy chiều rộng của khối hàng hoá đó lớn nhất là để sà lan có thể đi qua được gầm cầu.
Đáp án cần nhập là: .
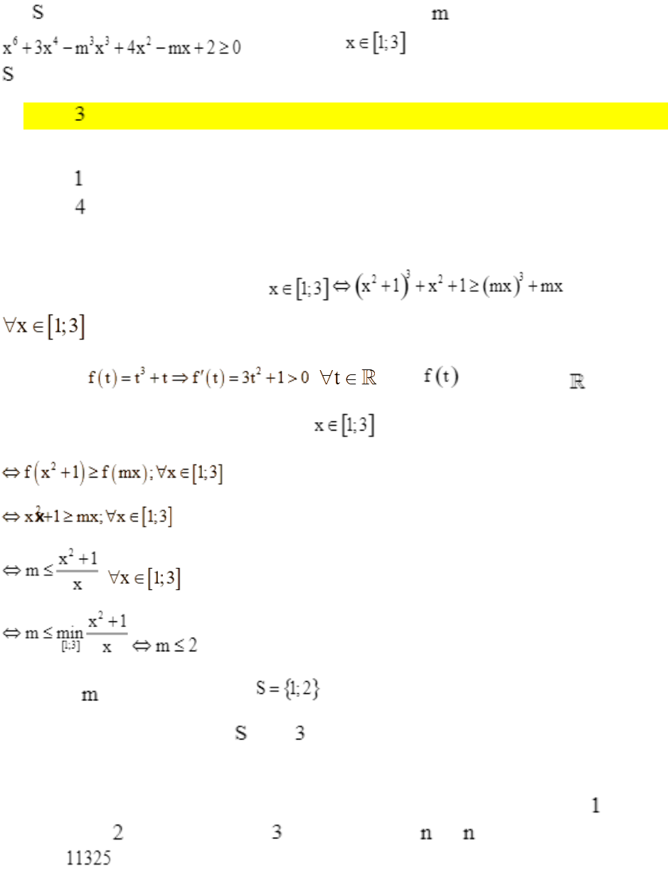
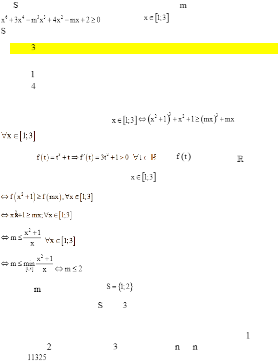
Câu 2:

Trang 2 | 143
Gọi là tập hợp tất cả các giá trị nguyên dương của tham số để bất phương trình
đúng với mọi . Tổng của tất cả các phần tử thuộc
bằng:
A. .
B. 2.
C. .
D. .
Lời giải:
Bất phương trình đ cho đúng với mọi ,
.
Xét hàm số: . Vậy đồng biến trên .
Suy ra bất phương trình đ cho đúng với mọi
.
Vì tham số nguyên dương suy ra .
Vậy tổng tất cả các phần tử thuộc bằng . Chọn A.
Câu 3:
Ông Sơn trồng cây trên một mảnh đất hình tam giác theo quy luật: ở hàng thứ nhất có cây,
hàng thứ hai có cây, hàng thứ ba có cây…, ở hàng thứ có cây. Biết rằng ông đ
trồng hết cây. Hỏi số hàng cây được trồng theo cách trên là bao nhiêu (nhập đáp án vào ô
trống)?

Trang 3 | 143
Lời giải:
Gọi số cây ở hàng thứ là .
Ta có: , , , … và .
Nhận xét dãy số là cấp số cộng có , công sai .
Khi đó . Suy ra
(vì ).
Vậy số hàng cây được trồng là .
Đáp án cần nhập là: .
Câu 4:
Người ta thiết kế một cái tháp gồm 8 tầng. Diện tích bề mặt trên của mỗi tầng bằng nửa diện tích
của bề mặt trên của tầng ngay bên dưới và diện tích mặt trên của tầng 1 bằng nửa diện tích của
đế tháp (có diện tích là ). Diện tích mặt trên cùng của tháp là:
A. .
B. .
C. .
D. .
Lời giải:
Đề thi đánh giá năng lực Đại học Quốc Gia Hà Nội 2025
VnDoc.com xin gửi tới bạn đọc bài viết Đề ôn thi đánh giá năng lực Đại học Quốc gia Hà Nội 2025 - Đề 6 để bạn đọc cùng tham khảo và có thêm tài liệu ôn thi kì thi đánh giá năng lực, đánh giá tư duy sắp tới nhé.
Đề thi được tổng hợp có 150 câu hỏi gồm 50 câu hỏi Toán học và xử lí số liệu/Tư duy định lượng, 50 câu hỏi Văn học - Ngôn ngữ/Tư duy định tính và 50 câu hỏi Khoa học hoặc Tiếng Anh. Thí sinh làm đề trong thời gian 195 phút. Đề có đáp án và lời giải chi tiết kèm theo. Mời các bạn cùng theo dõi đề thi dưới đây.