Bộ câu hỏi ôn thi đánh giá năng lực phần Khoa học - Số 7
ĐGNL năm 2025
Lớp:
ĐGNL-ĐGTD
Dạng tài liệu:
Đề thi
Loại:
Tài liệu Lẻ
Loại File:
Word + PDF
Phân loại:
Tài liệu Tính phí

Trang 1 | 38
Bộ câu hỏi ôn thi đánh giá năng lực phần Khoa học
Câu 79:
Phần thi thứ ba: KHOA HỌC
Chủ đề Vật lí có 17 câu hỏi
Hình vẽ dưới minh hoạ quy tắc tổng hợp hai lực có giá song song, cùng chiều. Biết d1 = 4 cm và
d2 = 10 cm. Tỉ số bằng
A. 2,5.
B. 0,4.
C. 14.
D. 6.
Lời giải:
Đáp án đúng là B
Áp dụng quy tắc tổng hợp hai lực có giá song song, cùng chiều ta có:
Câu 80:
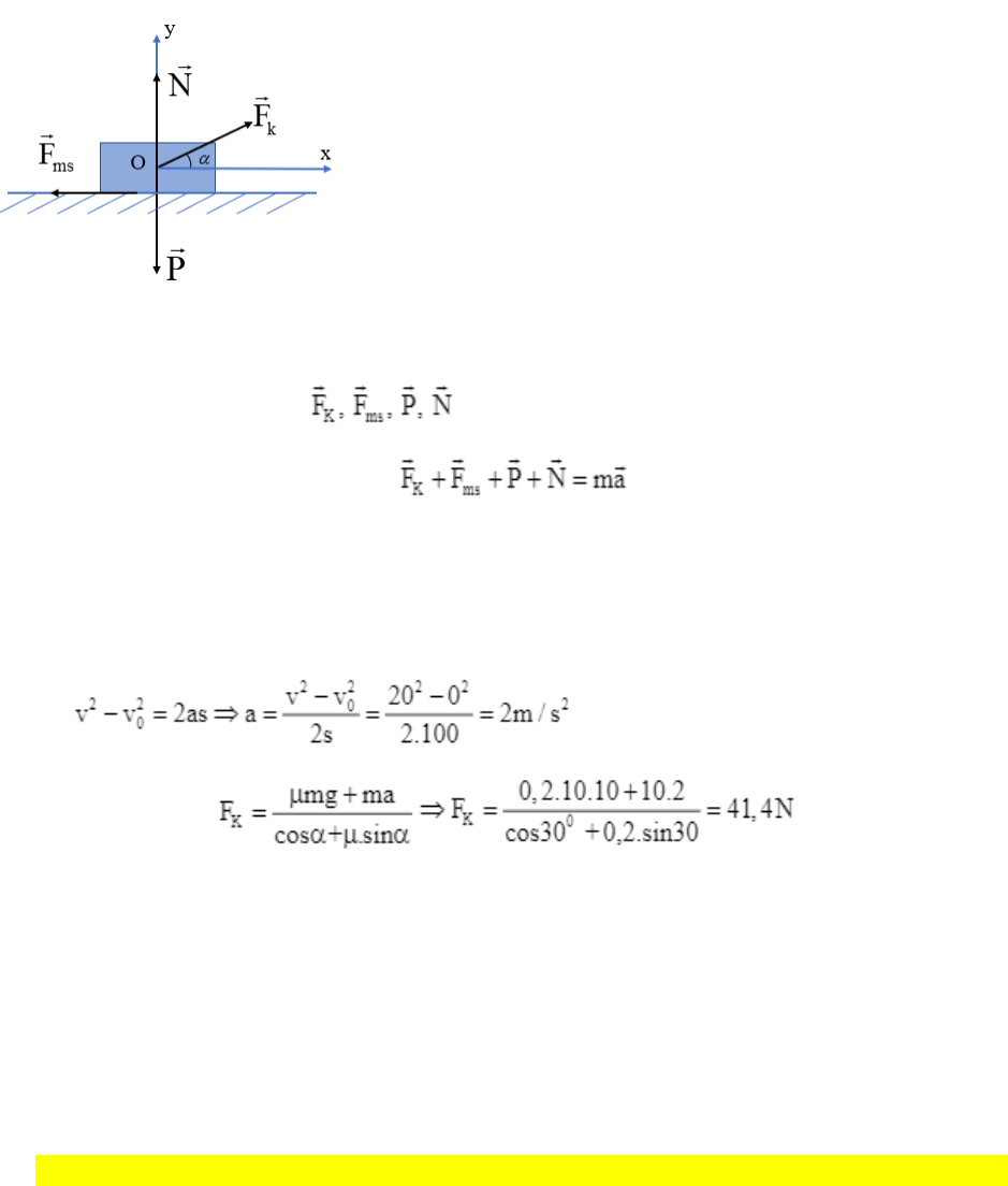
Một vật có khối lượng m = 10 kg, chịu tác dụng của lực kéo Fk hợp với phương ngang một góc
300 và lực ma sát có hệ số ma sát µ = 0,2. Lấy g = 10 m/s2. Biết vật chuyển động nhanh dần trên
mặt ngang không vận tốc đầu, sau khi đi được 100 m vật đạt vận tốc 20 m/s. Lực kéo tác dụng
lên vật có độ lớn là:
A. 44,1 N.
B. 41,4 N.

Trang 2 | 38
C. 14,4 N.
D. 11,4 N.
Lời giải:
Đáp án đúng là B
Chọn hệ trục tọa độ Oxy như hình vẽ, chiều dương cùng chiều chuyển động của vật
Các lực tác dụng lên vật gồm có phương và chiều như hình vẽ.
Viết phương trình định luật II Niuton: (1)
Chiếu phương trình (1) lên hệ trục tọa độ Oxy
Ox: FK.cosa – Fms = ma (2)
Oy: N + FK.sina – P = 0 (3)
Ta có:
Từ (2) và (3) suy ra:
Câu 81:
Hai bạn Nam và Hùng kéo nước từ giếng lên. Nam kéo gàu nước nặng gấp đôi, thời gian kéo gàu
nước lên của Hùng chỉ bằng một nửa thời gian của Nam. So sánh công suất trung bình của Nam
và Hùng.
A. Công suất của Nam lớn hơn vì gàu nước của Nam nặng gấp đôi.
B. Công suất của Hùng lớn hơn vì thời gian kéo của Hùng chỉ bằng một nửa thời gian
kéo của Nam.
C. Công suất của Nam và Hùng là như nhau.

Trang 3 | 38
D. Không đủ căn cứ để so sánh.
Lời giải:
Đáp án đúng là C.
Gọi lực kéo gàu nước lên của Nam và Hùng lần lượt là F1, F2.
Thời gian Nam và Hùng kéo gàu nước lên lần lượt là t1, t2.
Chiều cao của giếng nước là h.
- Trọng lượng của gàu nước do Nam kéo nặng gấp đôi do Hùng kéo: P1 = 2P2 ⇒ F1 = 2F2
- Thời gian kéo gàu nước lên của Hùng chỉ bằng một nửa thời gian của Nam:
- Công mà Nam thực hiện được là: A1 = F1.h
- Công mà Hùng thực hiện được là: A2 = F2.h =
- Công suất của Nam và Hùng lần lượt là: ;
⇒ = ⇒ Công suất của Nam và Hùng là như nhau.
Câu 82:
Hình vẽ bên biểu diễn cách ghép các nguồn điện thành bộ. Phát biểu nào sau đây là đúng?
A. Đoạn AB gồm n nguồn điện giống nhau ghép song song.
B. Đoạn AB gồm 3 nguồn điện giống nhau ghép nối tiếp.
C. Đoạn AB gồm n nguồn điện giống nhau ghép nối tiếp.
D. Đoạn AB gồm 3 nguồn điện giống nhau ghép song song.
Đề ôn thi đánh giá năng lực phần Khoa học
Bộ câu hỏi ôn thi đánh giá năng lực HSA phần Khoa học - Số 7 có đáp án kèm theo được VnDoc.com sưu tầm và xin gửi tới bạn đọc cùng tham khảo.
Bài viết tổng hợp gồm có 50 câu hỏi trắc nghiệm phần Khoa học với các môn Vật lí, Hóa học, Sinh học, Địa lí và Lịch sử. Đề có đáp án và lời giải chi tiết kèm theo. Mời các bạn cùng theo dõi bài viết dưới đây để có thêm tài liệu ôn thi kì thi đánh giá năng lực sắp tới nhé.