Đề ôn thi đánh giá năng lực Đại học Quốc gia Hà Nội 2025 - Đề 7
ĐGNL năm 2025
Lớp:
ĐGNL-ĐGTD
Dạng tài liệu:
Đề thi
Loại:
Tài liệu Lẻ
Loại File:
Word + PDF
Phân loại:
Tài liệu Tính phí

Trang 1 | 145
Đề thi Đánh giá năng lực ĐHQG Hà Nội form 2025 có đáp
án (Đề 7)
Câu 1:
Trong một thí nghiệm, một quả cầu được gắn vào một đầu dây đàn hồi, đầu kia của sợi đây được
gắn cố định vào một thanh treo nằm ngang. Sau khi quả cầu được kéo xuống và thả ra, nó bắt
đầu di chuyển lên xuống. Khi đó, chiều cao của quả cầu so với mặt đất theo thời gian
(giây) được cho bởi công thức . Tính thời điểm đầu tiên mà quả cầu đạt
chiều cao cao nhất kể từ khi quả cầu được thả ra (nhập đáp án vào ô trống, đơn vị: giây, làm tròn
kết quả đến hàng phần trăm).
Lời giải:
Do
Do đó quả cầu đạt chiều cao cao nhất là .
Điều này xảy ra khi .
Vậy thời điểm đầu tiên mà quả cầu đạt chiều cao cao nhất kể từ khi quả cầu được thả ra là
(giây).
Đáp án cần nhập là: .
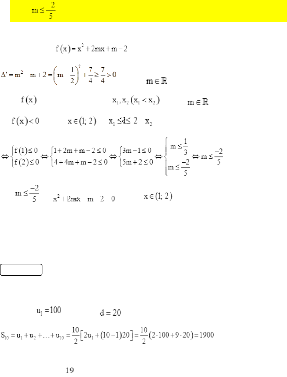
Câu 2:
Tìm để bất phương trình nghiệm đúng với mọi .
A. .
B. .
C. .

Trang 2 | 145
D. .
Lời giải:
Tam thức bậc hai có:
với mọi .
Do đó có hai nghiệm phân biệt với mọi .
Để với mọi thì
Vậy thì với mọi . Chọn D.
Câu 3:
Anh Nam được nhận vào làm việc ở một công ty về công nghệ với mức lương khởi điểm là 100
triệu đồng một năm. Công ty sẽ tăng thêm lương cho anh Nam mỗi năm là 20 triệu đồng. Tính
tổng số tiền lương mà anh Nam nhận được sau 10 năm làm việc cho công ty đó (nhập đáp án vào
ô trống, đơn vị: trăm triệu đồng).
Lời giải:
Số tiền lương trong 10 năm của anh Nam lập thành một cấp số cộng, gồm 10 số hạng, với số
hạng đầu là và công sai . Tổng các số hạng này là:
(triệu đồng).
Vậy tổng số tiền lương anh Nam nhận sau 10 năm là 1 900 triệu đồng hay 19 trăm triệu đồng.
Đáp án cần nhập là: .
Câu 4:

Trang 3 | 145
Giả sử anh Tuấn kí hợp đồng lao động trong 10 năm với điều khoản về tiền lương như sau: Năm
thứ nhất, tiền lương của anh Tuấn là 60 triệu đồng. Kể từ năm thứ hai trở đi, mỗi năm tiền lương
của anh Tuấn được tăng lên . Tổng số tiền lương anh Tuấn lĩnh được trong 10 năm đi làm
(đơn vị: triệu đồng, làm tròn đến hàng phần nghìn) là:
A. .
B. .
C. .
D. .
Lời giải:
Gọi là số tiền lương (triệu đồng) anh Tuấn được lĩnh ở năm làm việc thứ .
Ta có: ;
Do đó, là cấp số nhân có số hạng đầu , công bội .
Áp dụng công thức tính tổng , ta có tổng số tiền lương anh Tuấn lĩnh được trong 10 năm đi
làm là: (triệu đồng). Chọn B.
Câu 5:
bằng:
A. .
B. .
C. .
D. .
Lời giải:
Đề thi đánh giá năng lực Đại học Quốc Gia Hà Nội 2025
Đề ôn thi đánh giá năng lực Đại học Quốc gia Hà Nội 2025 - Đề 7 có đáp án là tài liệu hữu ích giúp bạn đọc có thể trau dồi, luyện tập nội dung kiến thức để chuẩn bị thật tốt cho kì thi đánh giá năng lực, đánh giá tư duy sắp tới nhé.
Đề thi được tổng hợp có 150 câu hỏi gồm 50 câu hỏi Toán học và xử lí số liệu/Tư duy định lượng, 50 câu hỏi Văn học - Ngôn ngữ/Tư duy định tính và 50 câu hỏi Khoa học hoặc Tiếng Anh. Thí sinh làm đề trong thời gian 195 phút. Đề có đáp án và lời giải chi tiết kèm theo. Mời các bạn cùng theo dõi đề thi dưới đây.