Bộ câu hỏi ôn thi đánh giá năng lực phần Tư duy định lượng - Số 4
ĐGNL năm 2025
Lớp:
ĐGNL-ĐGTD
Môn:
Toán
Dạng tài liệu:
Đề thi
Loại:
Tài liệu Lẻ
Loại File:
Word + PDF
Phân loại:
Tài liệu Tính phí

Trang 1 | 36
Đề thi Đánh giá năng lực ĐHQG Hà Nội form 2025 có đáp
án (Đề 4)
Câu 1:
Công thnh lut làm mát c là s gi
trôi qua, là nhi u, là nhi sau gi, là nhi ng (
theo cùng m là mt hng s. Mt cc trà có nhi , sau 2 phút nhi
gim còn . Bit nhi phòng là . Tính nhi ca cc trà sau 10 phút (nhập đáp
án vào ô trống, đơn vị: ° C, làm tròn kết quả đến hàng phần mười).
Lời giải:
Thay phút gi, ta có .
.
Sau 10 phút gi, ta có hay .
Suy ra . Vy nhi ca cc trà sau 10 phút khong .
Đáp án cần nhập là: .
Câu 2:
Tt c các nghim nguyên ca b
bng:
A. 5.
B. 2.
C. 0.

Trang 2 | 36
D. 1.
Lời giải:
Ta có .
Trc xét du:
Tp nghim ca b .
Tm nguyên b . Chọn B.
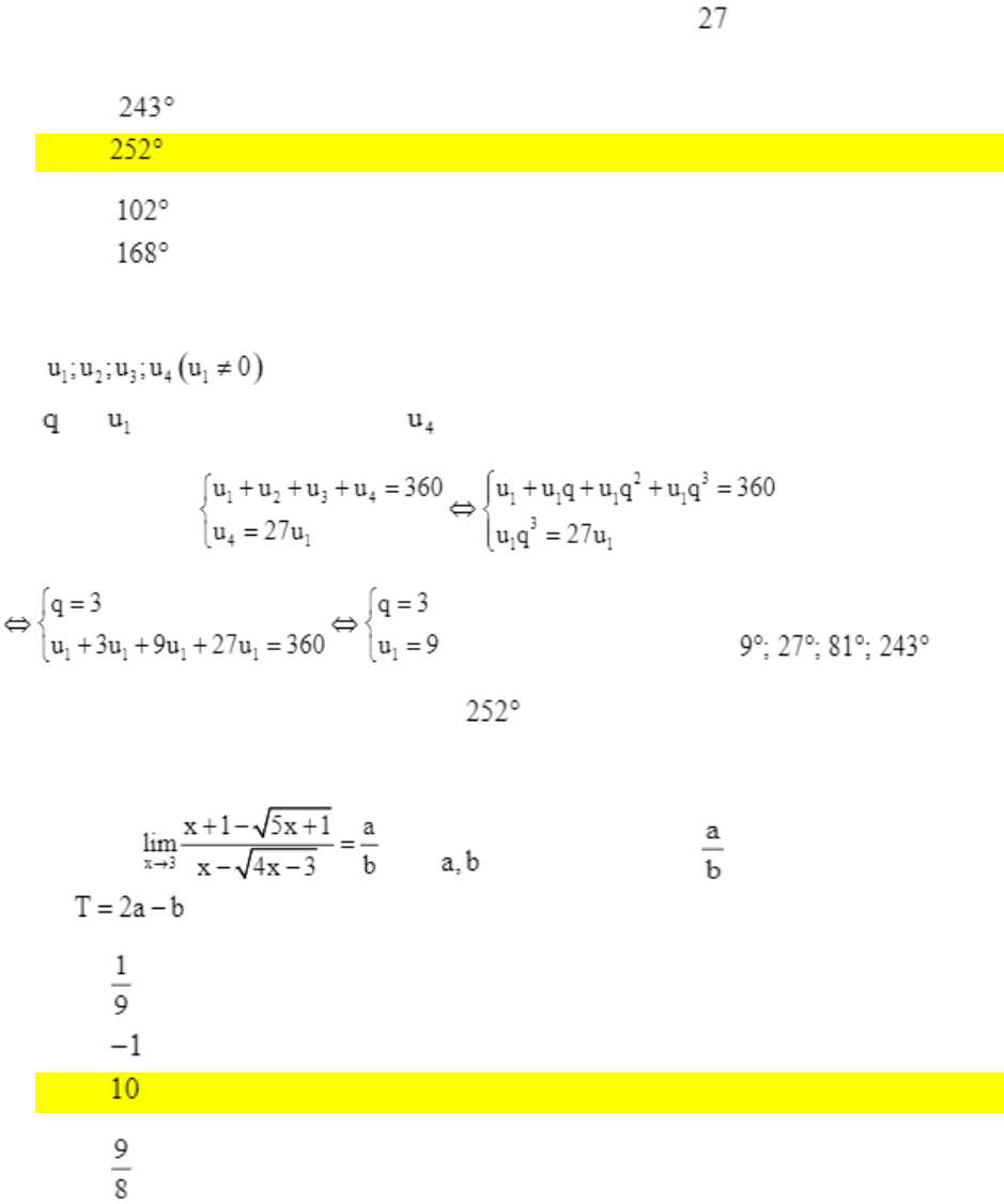
Câu 3:
Anh Minh kí hng có thi hn mt công ty v
Quý th nht, tià tring. K t quý th hai tr i quý tic
tring. Tng s ti triu
ng. H nhập đáp án vào ô trống)?
Lời giải:
Gi s a anh Minh . S quý làm vic là .
ng s tic ca anh Minh trong
hoc
Do
Đáp án cần nhập là: .
Câu 4:

Trang 3 | 36
Bn góc ca mt t giác to thành cp s nhân và góc ln nht gp ln góc nh nht. Tng
ca góc ln nht và góc nh nht bng:
A. .
B. .
C. .
D. .
Lời giải:
Gi lt là s n góc ca t giác to thành cp s nhân vi công
bi và là góc có s nht, là góc có s n nht.
The bài, ta có:
. Vy bn góc ca t giác là .
Tng ca góc ln nht và góc nh nht bng . Chọn B.
Câu 5:
Cho gii hn (vi là các s nguyên và là phân s ti gin). Giá
tr ca là:
A. .
B. .
C. .
D. .
Lời giải:
Đề ôn thi đánh giá năng lực phần Tư duy định lượng
Bộ câu hỏi ôn thi đánh giá năng lực phần định lượng - Số 4 có đáp án được VnDoc.com tổng hợp và xin gửi tới bạn đọc cùng tham khảo để có thêm tài liệu ôn thi. Bài viết được tổng hợp gồm có 49 câu hỏi phần Toán học và xử lý số liệu. Đề có đáp án và lời giải chi tiết kèm theo. Mời các bạn cùng theo dõi bài viết dưới đây để có thêm tài liệu ôn thi kì thi đánh giá năng lực sắp tới nhé.