Bộ câu hỏi ôn thi đánh giá năng lực phần Tư duy định lượng - Số 2
ĐGNL năm 2025
Lớp:
ĐGNL-ĐGTD
Môn:
Toán
Dạng tài liệu:
Đề thi
Loại:
Tài liệu Lẻ
Loại File:
Word + PDF
Phân loại:
Tài liệu Tính phí

Trang 1 | 35
Bộ câu hỏi ôn thi đánh giá năng lực phần Tư duy định lượng
Câu 1:
Phần thi thứ nhất: Toán học và Xử lí số liệu
Mt qu c bn ra khi nòng pháo vi vn tu hp vi
t góc . Trong Vt lí, ta bit rng, nu b qua sc cn ca không khí và coi
qu c bn ra t mt thì qu o ca qu
là gia tc trng. Góc bn qu
n bay xa nht bng:
A. .
B. .
C. .
D. .
Lời giải:
Ta có
, tm bay xa mà qu t ti là
Vn bay xa nht khi .
Vì nên
Vy góc bn bng n bay xa nht. Chọn B.
Câu 2:

Trang 2 | 35
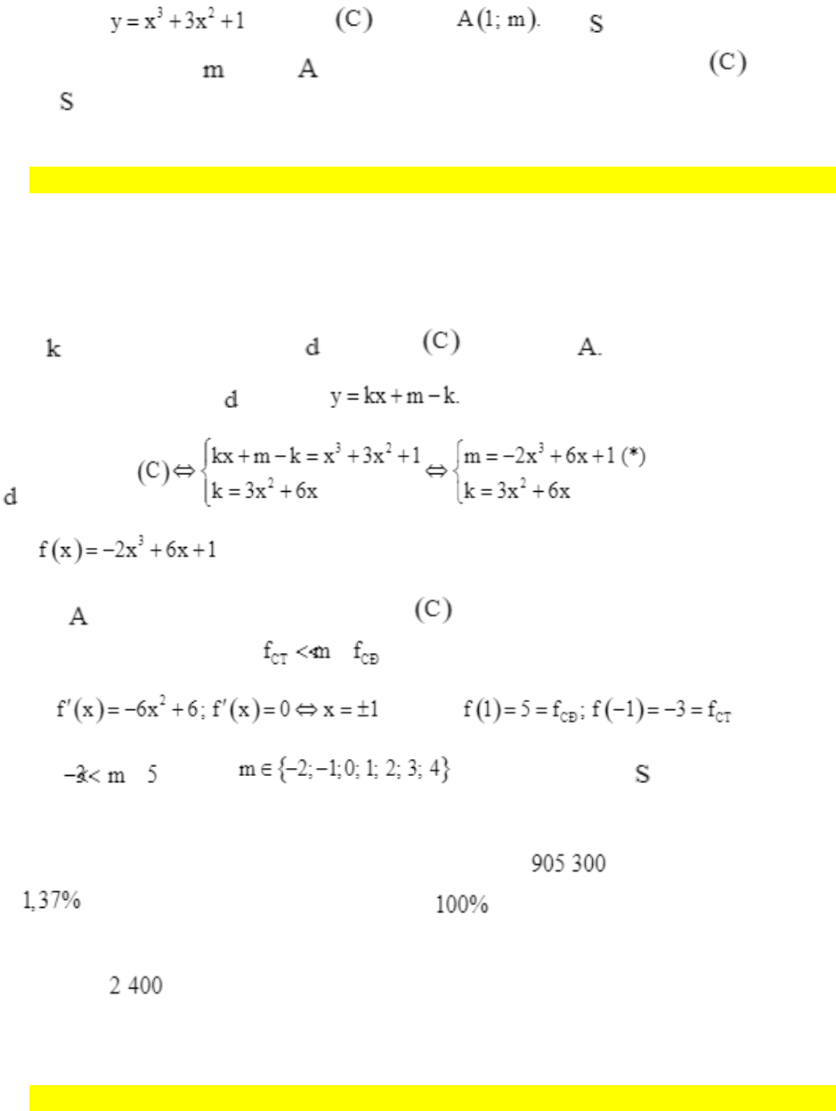
Cho hàm s th m Gi là tp hp tt c các giá
tr nguyên ca tham s qua có th k p tuyn t th . S phn
t ca là:
A. 9.
B. 7.
C. 3.
D. 5.
Lời giải:
Gi là h s góc ca tip tuyn c th m
a có dng:
tip xúc vi có nghim.
t .
qua có th k p tuyn ti h (*) phi có 3 nghim phân
bii .
Ta có .
Suy ra . Vy s phn t ca là 7. Chọn B.
Câu 3:
toàn tt gn i, m
là mnh thc hin tt ch tr tuu vào ln
c 2024 2025 ngành giáo dc ca tnh cn chun b bao nhiêu phòng hc cho hc sinh
lp 1, mi phòng dành cho 35 hc sinh? (Gi s a la hc sinh vào l
toàn tnh có i cht, s tr t c 6 tu).
A. 458.
B. 222.
C. 459.
D. 221.

Trang 3 | 35
Lời giải:
Ch nh tuc (6 tui) vào lc 2024 2025.
Áp dng công thc tính dân s
.
Dân s là: i).
Dân s i).
S tr vào lc 2024 2025 là: i).
Ta có: . Vy s phòng cn chun b là 459 phòng. Chọn C.
Câu 4:
trong phòng t , m
t h
th
ng l
m m
c phép hong trong 10
phút. Gi ) là nhi phòng phút th c cho bi công thc
vi Nhi th
p nhc trong thi
gian 10 phút k t khi h
th
ng bu hong l
C (nhập đáp án vào ô trống)?
Lời giải:
X
t h
m s
v
i
Ta c
v
i
Suy ra h
m s
nghch bi
n
Nhi th
p nhc l
:
.
Đáp án cần nhập là: .
Câu 5:
Đề ôn thi đánh giá năng lực phần Tư duy định lượng
Bộ câu hỏi ôn thi đánh giá năng lực phần định lượng - Số 2 có đáp án là tài liệu hữu ích giúp bạn đọc có thể trau dồi, luyện tập nội dung kiến thức để chuẩn bị thật tốt cho kì thi đánh giá năng lực sắp tới nhé. Bài viết được tổng hợp gồm có 50 câu hỏi phần Toán học và xử lý số liệu. Đề có đáp án và lời giải chi tiết kèm theo. Mời các bạn cùng theo dõi bài viết dưới đây.