Bộ câu hỏi ôn thi đánh giá năng lực phần Tư duy định lượng - Số 11
ĐGNL năm 2025
Lớp:
ĐGNL-ĐGTD
Môn:
Toán
Dạng tài liệu:
Đề thi
Loại:
Tài liệu Lẻ
Loại File:
Word + PDF
Phân loại:
Tài liệu Tính phí

Trang 1 | 37
B câu hc phng
Câu 1:
Phn thi th nht: Toán hc và X lí s liu
Trong ma Ba Vì ta thu nhc tài liu sau:
S
ng s
a h
ng ng
y c
a m
t con b
(l
t)
S con b
T 7
n 9
12
T
n 11
23
T
n 13
85
T
n 15
55
T
n 17
25
S con bò cho sng sa hàng ngày cao nht cng là bao nhiêu?
A. 12 con.
B. 15 con.
C. 85 con.
D. 25 con.
Li gii:
Nhìn bng thng kê, ta thy sng sa hàng ngày cao nht cng là t
n 17
lít, có 25 con bò cho sy. Chn D.
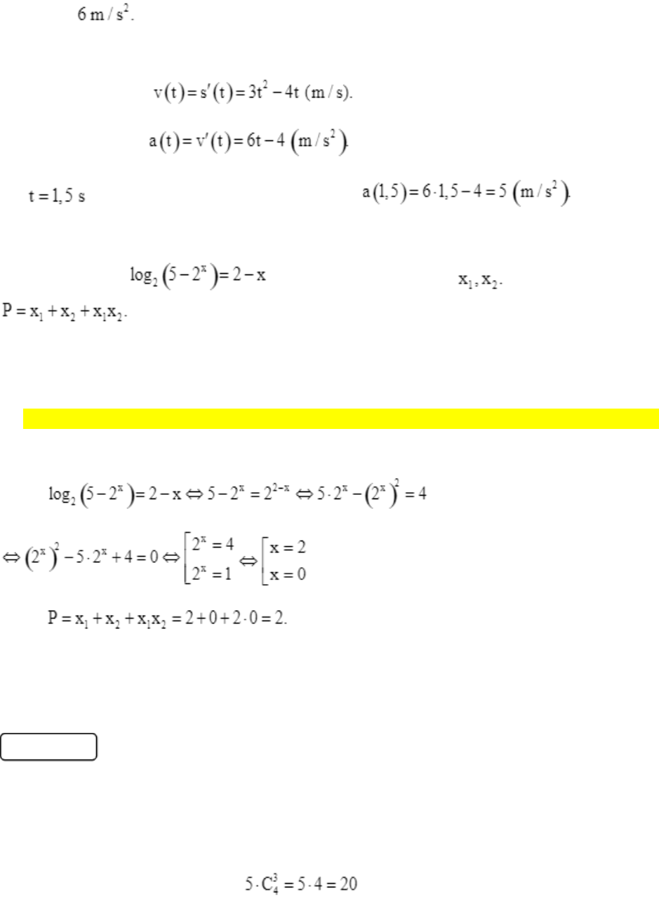
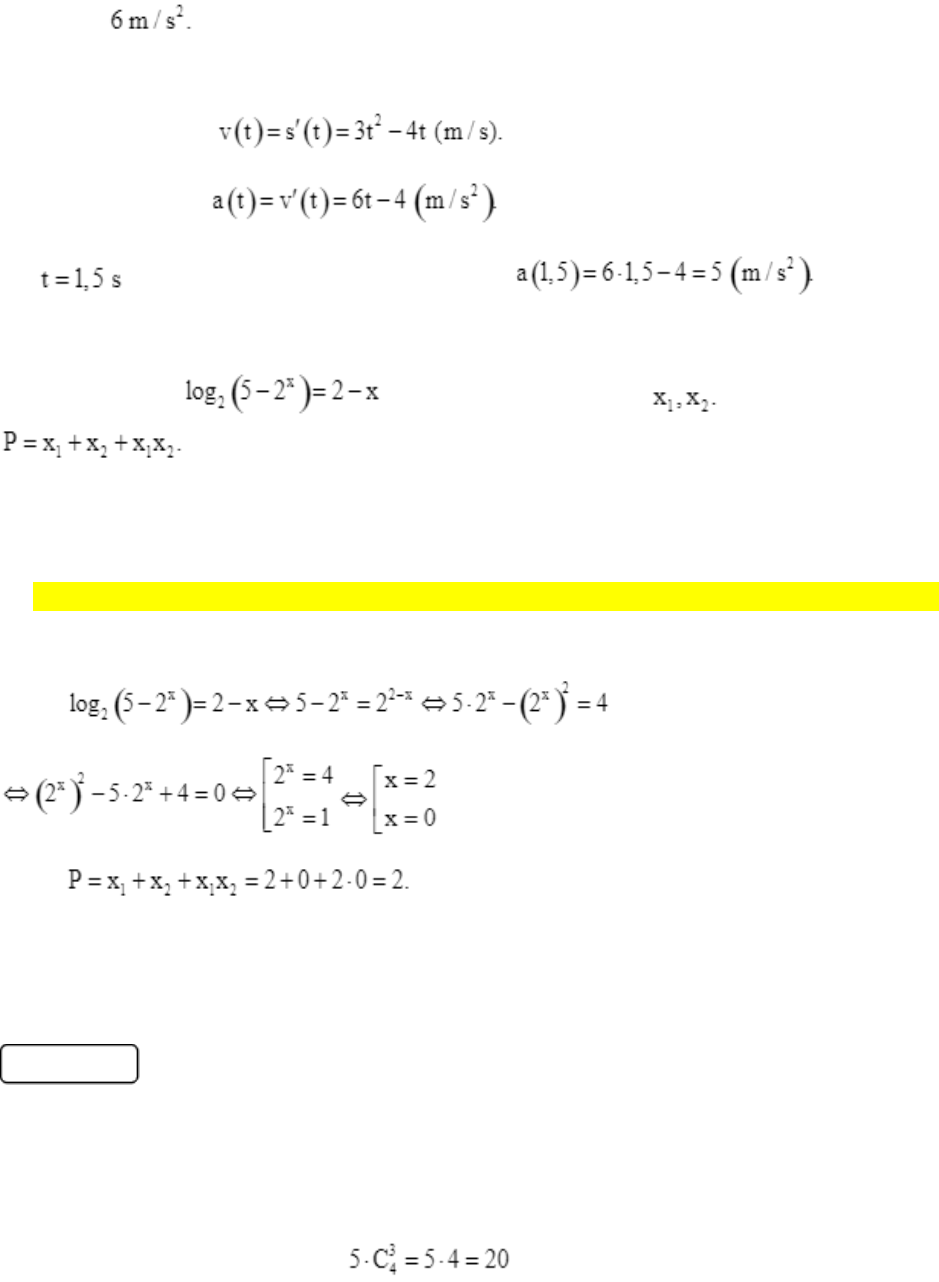
Câu 2:
Cho mt chuy tính bng mét, tính bng
giây. Gia tc tc thi ca chuyng ti thm giây là:
A.
B.
C.

Trang 2 | 37
D.
Li gii:
n tc:
c:
Ti thì gia tc tc thi ca chuyng là: Chn C.
Câu 3:
Bi có hai nghim phân bit là Tính
A. 11.
B. 9.
C. 3.
D. 2.
Li gii:
Ta có:
.
Chn D.
Câu 4:
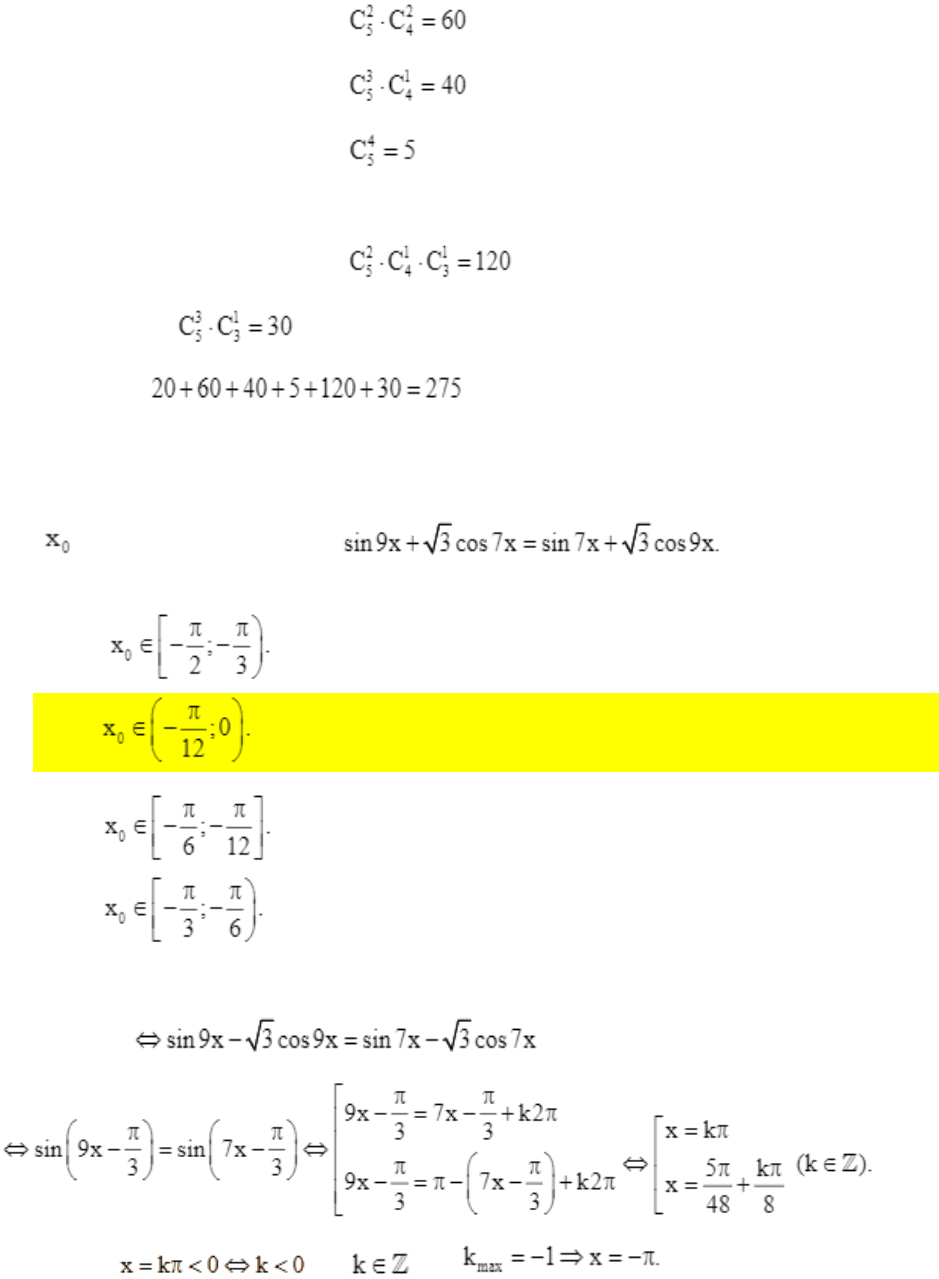
Mt h, 3 viên bi vàng và 4 viên bi xanh. Hi có bao nhiêu cách ly ra 4 viên
l viên bi vàng (nhập đáp án vào ô trống)?
Li gii:
Vì ly 4 viên mà s nên s bi vàng s nh
* TH1: Không có viên bi vàng nào.
và 3 viên bi xanh: (cách).

Trang 3 | 37
và 2 viên bi xanh: (cách).
và 1 viên bi xanh: (cách).
và 0 viên bi xanh: (cách).
* TH2: Có 1 viên bi vàng.
và 1 viên bi xanh: (cách).
: (cách)
, tng có (cách).
n nhp là: 275.
Câu 5:
Gi là nghim âm ln nht ca Khi
?
A.
B.
C.
D.
Li gii:
nh
TH1: Vi mà nên
Đề ôn thi đánh giá năng lực phần Tư duy định lượng
Bộ câu hỏi ôn thi đánh giá năng lực phần Định lượng - Số 11 có đáp án kèm theo là tài liệu hữu ích giúp bạn đọc có thể trau dồi, luyện tập nội dung kiến thức để chuẩn bị thật tốt cho kì thi đánh giá năng lực sắp tới nhé. Bài viết được tổng hợp gồm có 50 câu hỏi trắc nghiệm phần Toán học và xử lý số liệu. Đề có đáp án và lời giải chi tiết kèm theo. Mời các bạn cùng theo dõi bài viết dưới đây.