Đề ôn thi đánh giá năng lực Đại học Quốc gia Hà Nội 2025 - Đề 3
ĐGNL năm 2025
Lớp:
ĐGNL-ĐGTD
Dạng tài liệu:
Đề thi
Loại:
Tài liệu Lẻ
Loại File:
Word + PDF
Phân loại:
Tài liệu Tính phí

Trang 1 | 143
Đề thi Đánh giá năng lực ĐHQG Hà Nội form 2025 có đáp
án (Đề 3)
Câu 1:
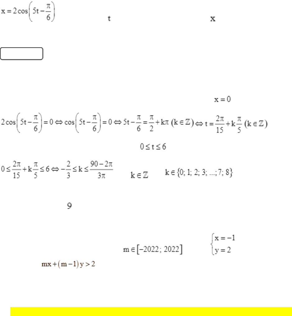
Giả sử một vật dao động điều hòa xung quanh vị trí cân bằng theo phương trình
, ở đây thời gian tính bằng giây và quãng đường tính bằng centimét. Hãy
cho biết trong khoảng thời gian từ 0 đến 6 giây, vật đi qua vị trí cân bằng bao nhiêu lần (nhập
đáp án vào ô trống)?
Lời giải:
Vị trí cân bằng của vật dao động điều hòa là vị trí vật đứng yên, khi đó , ta có:
.
Trong khoảng thời gian từ 0 đến 6 giây, tức là hay
. Mà nên .
Vậy trong khoảng thời gian từ 0 đến 6 giây, vật đi qua vị trí cân bằng 9 lần.
Đáp án cần nhập là: .
Câu 2:
Có bao nhiêu giá trị nguyên của tham số sao cho là nghiệm của bất
phương trình ?
A. 2 022.
B. 2 000.
C. 2 018.
D. 2 016.

Trang 2 | 143
Lời giải:
Ta có là nghiệm của bất phương trình
nên .
Mà nên .
Do nên .
Số các giá trị nguyên của tham số thỏa mãn đề là (số). Chọn C.
Câu 3:
Bà chủ quán trà sữa X muốn trang trí quán cho đẹp nên quyết định thuê nhân công xây một bức
tường bằng gạch với xi măng (như hình v bên), biết hàng dưới cùng có 500 viên, mỗi hàng tiếp
theo đều có ít hơn hàng trước 1 viên và hàng trên cùng có 1 viên. Hỏi số gạch cần dùng để hoàn
thành bức tường trên là bao nhiêu viên?
A.
B.
C.
D.
Lời giải:
Theo bài ra, số viên gạch ở mỗi hàng lập thành 1 cấp số cộng.
Với và công sai , số hạng cuối là
Do đó
Vậy tổng số viên gạch cần dùng là Chọn D.
Câu 4:

Trang 3 | 143
Cho hàm số Tổng bằng:
A.
B. 1.
C. 2018.
D.
Lời giải:
Ta có Vậy
Chọn D.
Câu 5:
Với và thì bằng:
A.
B. 0.
C. 1.
D.
Lời giải:
.
Ta có
.
Đề thi đánh giá năng lực Đại học Quốc Gia Hà Nội 2025
VnDoc.com xin gửi tới bạn đọc bài viết Đề ôn thi đánh giá năng lực Đại học Quốc gia Hà Nội 2025 - Đề 3 để bạn đọc cùng tham khảo. Đề thi được tổng hợp có 150 câu hỏi gồm 50 câu hỏi Toán học và xử lí số liệu/Tư duy định lượng, 50 câu hỏi Văn học - Ngôn ngữ/Tư duy định tính và 50 câu hỏi Khoa học hoặc Tiếng Anh. Thí sinh làm đề trong thời gian 195 phút. Đề có đáp án và lời giải chi tiết kèm theo. Mời các bạn cùng theo dõi đề thi dưới đây để có thêm tài liệu ôn thi kì thi đánh giá năng lực, đánh giá tư duy sắp tới nhé.