Đề ôn thi đánh giá năng lực Đại học Quốc gia Hà Nội 2025 - Đề 4
ĐGNL năm 2025
Lớp:
ĐGNL-ĐGTD
Dạng tài liệu:
Đề thi
Loại:
Tài liệu Lẻ
Loại File:
Word + PDF
Phân loại:
Tài liệu Tính phí

Trang 1 | 141
Đề thi Đánh giá năng lực ĐHQG Hà Nội form 2025 có đáp
án (Đề 4)
Câu 1:
Công thức Định luật làm mát của Newton được cho như sau: trong đó là số giờ
trôi qua, là nhiệt độ lúc đầu, là nhiệt độ sau giờ, là nhiệt độ môi trường (
theo cùng một đơn vị đo), là một hằng số. Một cốc trà có nhiệt độ , sau 2 phút nhiệt độ
giảm còn . Biết nhiệt độ phòng là . Tính nhiệt độ của cốc trà sau 10 phút (nhập đáp
án vào ô trống, đơn vị: ° C, làm tròn kết quả đến hàng phần mười).
Lời giải:
Thay phút giờ, ta có .
Do đó .
Sau 10 phút giờ, ta có hay . Do đó .
Suy ra . Vậy nhiệt độ của cốc trà sau 10 phút khoảng .
Đáp án cần nhập là: .
Câu 2:
Tổng bình phương tất cả các nghiệm nguyên của bất phương trình
bằng:
A. 5.
B. 2.
C. 0.

Trang 2 | 141
D. 1.
Lời giải:
Ta có .
Trục xét dấu:
Tập nghiệm của bất phương trình là .
Tổng bình phương các nghiệm nguyên bất phương trình là: . Chọn B.
Câu 3:
Anh Minh kí hợp đồng lao động có thời hạn ở một công ty với phương án trả lương như sau:
Quý thứ nhất, tiền lương là triệu đồng. Kể từ quý thứ hai trở đi, mỗi quý tiền lương được
tăng triệu đồng. Tổng số tiền lương anh nhận được trong các năm đã đi làm là triệu
đồng. Hỏi anh Minh đã làm ở công ty đó bao nhiêu năm (nhập đáp án vào ô trống)?
Lời giải:
Gọi số năm đã đi làm của anh Minh ở công ty đó là . Số quý làm việc là .
Khi đó, tổng số tiền thu được của anh Minh trong năm đi làm là:
hoặc
Do nguyên dương nên năm.
Đáp án cần nhập là: .
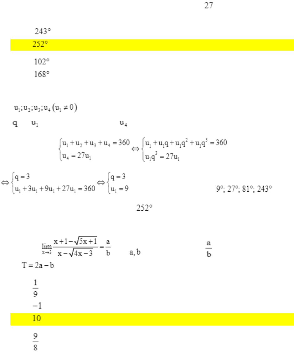
Câu 4:

Trang 3 | 141
Bốn góc của một tứ giác tạo thành cấp số nhân và góc lớn nhất gấp lần góc nhỏ nhất. Tổng
của góc lớn nhất và góc nhỏ nhất bằng:
A. .
B. .
C. .
D. .
Lời giải:
Gọi lần lượt là số đo bốn góc của tứ giác tạo thành cấp số nhân với công
bội và là góc có số đo nhỏ nhất, là góc có số đo lớn nhất.
Theo đề bài, ta có:
. Vậy bốn góc của tứ giác là .
Tổng của góc lớn nhất và góc nhỏ nhất bằng . Chọn B.
Câu 5:
Cho giới hạn (với là các số nguyên và là phân số tối giản). Giá
trị của là:
A. .
B. .
C. .
D. .
Lời giải:
Đề thi đánh giá năng lực Đại học Quốc Gia Hà Nội 2025
Đề ôn thi đánh giá năng lực Đại học Quốc gia Hà Nội 2025 - Đề 4 có đáp án là tài liệu hữu ích giúp bạn đọc có thể trau dồi, luyện tập nội dung kiến thức để chuẩn bị cho kì thi đánh giá năng lực, đánh giá tư duy sắp tới nhé.
Đề thi được tổng hợp có 150 câu hỏi gồm 50 câu hỏi Toán học và xử lí số liệu/Tư duy định lượng, 50 câu hỏi Văn học - Ngôn ngữ/Tư duy định tính và 50 câu hỏi Khoa học hoặc Tiếng Anh. Thí sinh làm đề trong thời gian 195 phút. Đề có đáp án và lời giải chi tiết kèm theo. Mời các bạn cùng theo dõi đề thi dưới đây.