Bộ câu hỏi ôn thi đánh giá năng lực phần Tư duy định lượng - Số 5
ĐGNL năm 2025
Lớp:
ĐGNL-ĐGTD
Môn:
Toán
Dạng tài liệu:
Đề thi
Loại:
Tài liệu Lẻ
Loại File:
Word + PDF
Phân loại:
Tài liệu Tính phí

Trang 1 | 37
Bộ câu hỏi ôn thi đánh giá năng lực phần Tư duy định lượng
Câu 1:
Phần thi thứ nhất: Toán học và Xử lí số liệu
Hàng ngày mc ti mt cng bin lên xung theo thy tri sâu ca mc
theo thi gian (gi) trong mt ngày cho bi công thc:
vi .
Tìm thm (gi) mà mc ti cng là cao nht (nhập đáp án vào ô trống).
Lời giải:
Do nên hay .
Vy mc ti cng cao nht bng 23m khi
.
Mà nên . Thm mà mc ti cng cao nht là (gi).
Đáp án cần nhập là: .
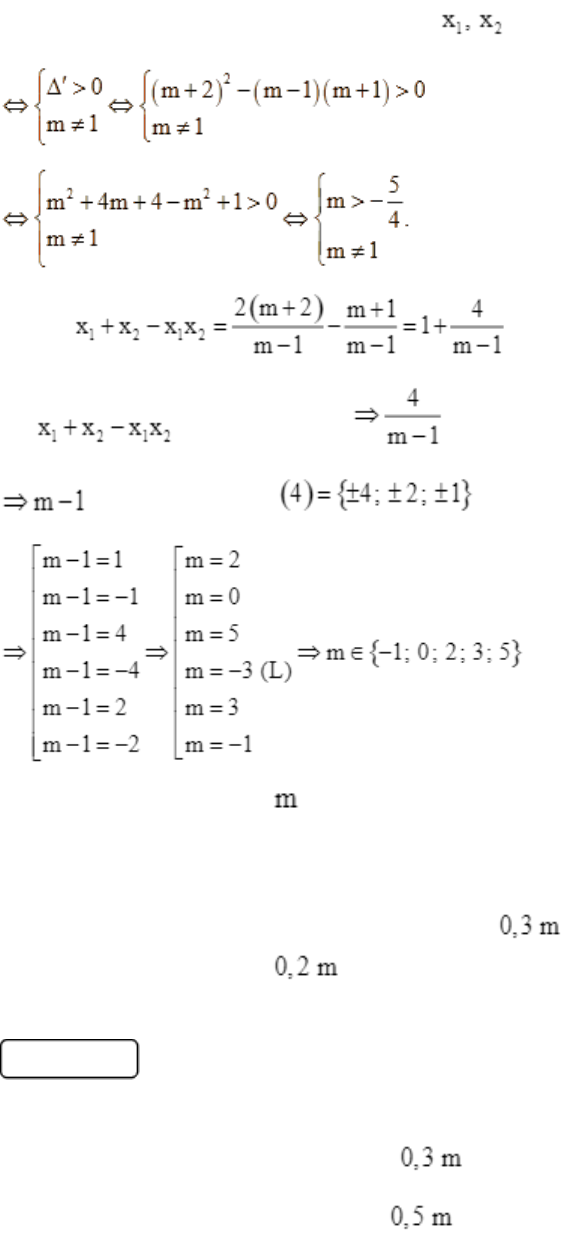
Câu 2:
, vi là tham s. Có bao nhiêu giá tr
nguyên ca tham s m phân bit sao cho
là mt s nguyên?
A. 3.
B. 4.
C. 5.
D. 6.
Lời giải:

Trang 2 | 37
m phân bit
.
là mt s nguyên là mt s nguyên.
c c .
.
Vy có 5 giá tr nguyên ca tho mãn yêu cu bài toán. Chọn C.
Câu 3:
Mt hng A ca mi hc có 600 ch ngi và các hàng gh c xp theo dng
bc thang, hàng gh u tiên có 15 ch ngi và cao so vi mt nn. Mi hàng gh sau có
thêm 3 ch ng so vi hàng gh c nó. Hi hàng gh cui cùng ca
h
cao bao nhiêu mét so vi mt nn (nhập đáp án vào ô trống)?
Lời giải:
Hàng gh u tiên có 15 ch ngi và cao so vi mt nn.
Hàng gh th hai có 18 ch ngi và cao so vi mt nn.

Trang 3 | 37
Hàng gh th hai có 21 ch ngi và cao so vi mt nn.
.....
D thy, s gh ng cao ca mi hàng gh lp thành các cp s cng.
Xét s gh ngi: và công sai nên vi là s hàng
gh u kin: ). Suy ra .
cao ca các hàng gh có: và .
Suy ra hàng gh cui cùng cao so vi mt nn là
Đáp án cần nhập là: 3,3.
Câu 4:
My bungee trên mt cây cu vi mt si dây dài . Sau mi l
xuc kéo lên m dài bng 80% so vi lc và li
ng vc kéo lên. T
10 lc kéo lên gn nht vi giá tr nào trong các giá tr
A. .
B. .
C. .
D. .
Lời giải:
Gi ln kéo lên.
Sau l (m).
Sau l (m).
Sau l
là mt cp s nhân có s hu và công bi
Tc kéo lên là:
Đề ôn thi đánh giá năng lực phần Tư duy định lượng
Bộ câu hỏi ôn thi đánh giá năng lực phần định lượng - Số 5 có đáp án là tài liệu hữu ích giúp bạn đọc có thể trau dồi, luyện tập nội dung kiến thức để chuẩn bị thật tốt cho kì thi đánh giá năng lực sắp tới nhé. Bài viết được tổng hợp gồm có 50 câu hỏi phần Toán học và xử lý số liệu. Đề có đáp án và lời giải chi tiết kèm theo. Mời các bạn cùng theo dõi bài viết dưới đây.