Bộ câu hỏi ôn thi đánh giá năng lực phần Tư duy định lượng - Số 10
ĐGNL năm 2025
Lớp:
ĐGNL-ĐGTD
Môn:
Toán
Dạng tài liệu:
Đề thi
Loại:
Tài liệu Lẻ
Loại File:
Word + PDF
Phân loại:
Tài liệu Tính phí

Trang 1 | 36
Bộ câu hỏi ôn thi đánh giá năng lực phần Tư duy định lượng
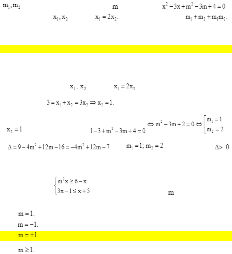
Câu 1:
Gi là hai giá tr khác nhau ca tham s
có hai nghim phân bit tho mãn Tính giá tr ca biu thc
A. 4.
B. 3.
C. 5.
D. 6.
Lời giải:
im tha mãn .
T nh lí Viet suy ra
Thay c:
Ta có . Nên thu kin
m phân bit. Chọn C.
Câu 2:
Cho h b . T
t c các giá tr ca tham s h b
cho có nghim duy nht l
A.
B.
C.
D.
Lời giải:

Trang 2 | 36
B
B
h bm duy nht là tp ht phn t
Chọn C.
Câu 3:
Trên mt phng to ng thng to vi hai trc t mt tam giác.
T ng cao c
A.
B.
C.
D. 20.
Lời giải:
Gi lm cng thi Ox, Oy.
Ta có .
Gi là hình chiu ca
Tam giác OAB là tam giác vuông ti O nên t ng cao là
Chọn B.
Câu 4:

Trang 3 | 36
Trên mt phng t cho bm Chn
ngu nhiên mm có t (vi là các s nguyên) nm trong hình ch nht
(k c nm trên các cnh). Gi là bin c u chia ht ca
bin c là
A.
B.
C.
D. 1.
Lời giải:
Da vào hình v, ta thy
và
Suy ra và
(Mm là mm trên hình v)
phn t ca không gian mu là
u chia h Suy ra
Theo quy tc nhân, ta có
Vy xác sut cn tính là Chọn C.
Câu 5:
Cho 2 tp khác rng vi là tham s thc. Có bao nhiêu giá
tr nguyên ca (nhập đáp án vào ô trống)?
Đề ôn thi đánh giá năng lực phần Tư duy định lượng
Bộ câu hỏi ôn thi đánh giá năng lực phần Định lượng - Số 10 có đáp án kèm theo được VnDoc.com tổng hợp và xin gửi tới bạn đọc cùng tham khảo để có thêm tài liệu ôn thi kì thi đánh giá năng lực sắp tới nhé. Bài viết được tổng hợp gồm có 50 câu hỏi trắc nghiệm phần Toán học và xử lý số liệu. Đề có đáp án và lời giải chi tiết kèm theo. Mời các bạn cùng theo dõi bài viết dưới đây.