Bộ câu hỏi ôn thi đánh giá năng lực phần Khoa học - Số 9
ĐGNL năm 2025
Lớp:
ĐGNL-ĐGTD
Dạng tài liệu:
Đề thi
Loại:
Tài liệu Lẻ
Loại File:
Word + PDF
Phân loại:
Tài liệu Tính phí

Trang 1 | 36
Bộ câu hỏi ôn thi đánh giá năng lực phần Khoa học
Câu 81:
Phần thứ ba: KHOA HỌC
Chủ đề Vật lí có 17 câu hỏi
Mt ngi trn nhà bng mt si dây. Ly g = 9,8
m/s2. Dây ch chc ln nht là 8 N. Nu treo ngu dây thì
A. li dây là 9 N và si dây s b t.
B. li dây là 9,8 N và si dây s b t.
C. li dây là 9,8 N và si dây không b t.
D. li dây là 4,9 N và si dây không b t.
Lời giải:
Đáp án đúng là B
Khi treo ng ln ca l ln ca trng lc:
T = P = mg = 9,8 N.
Li mà dây chc nên dây s b t.
Câu 82:
Mt qu bóng khng 200 g bay vi vn tng ri bt
tr li vn tc 54 km/h. Thi gian va chm ging là 0,05 s. Xác
ln lc cng tác dng lên qu bóng.
A. 100 N.
B. 140 N.
C. 180 N.
D. 200 N.
Lời giải:
Đáp án đúng là B
i: 72 km/h = 20 m/s; 54 km/h = 15 m/s.
Chn chiu (+) cùng chiu chuyng bt ra ca qu bóng

Trang 2 | 36
nh lung = Fbóng = m.a =
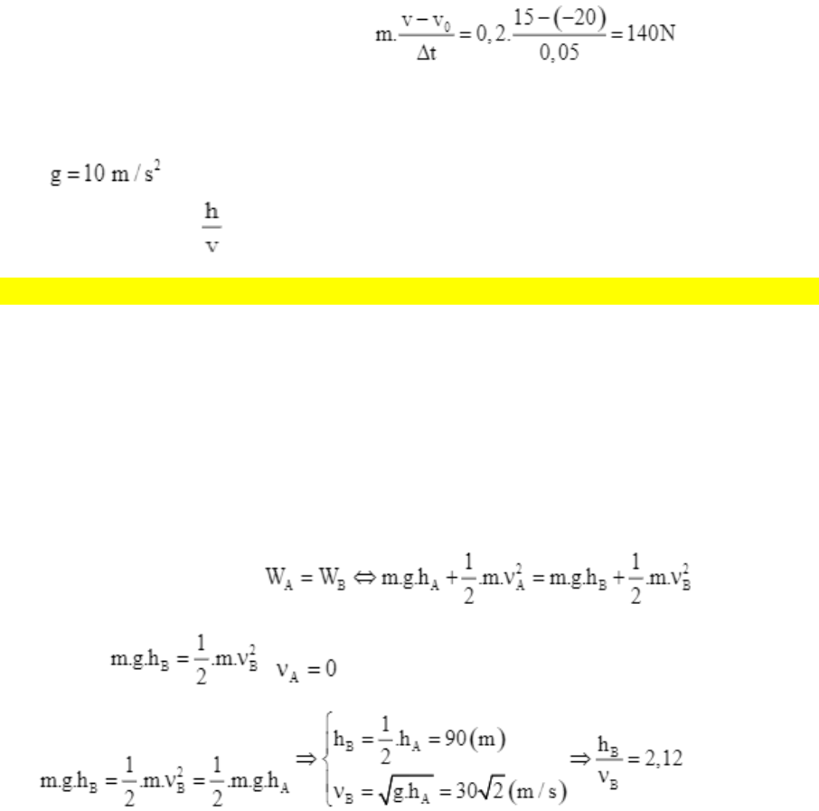
Câu 83:
T i ta th t vt nng không vn tu. B qua sc cn không
khí. Ly . Chn gc th i mt. Khi th
cao h và vn tc v. Giá tr gn giá tr t?
A. 2,0.
B. 2,5.
C. 3,0.
D. 3,5.
Lời giải:
Đáp án đúng là A
Gm th v cao h và vn tc v.
nh lut b
Mà theo bài ra: ;
Suy ra:
Câu 84:
Hai v th biu di ph thuc th. T th ta
có th kt lun:

Trang 3 | 36
A. ng cùng pha.
B. ng 1 sng 2.
C. ng 1 tr ng 2.
D. c pha.
Lời giải:
Đáp án đúng là D
c pha.
Câu 85:
Mc nh ng chng. v
trí cách còi mn 15 m, sóng âm là 0,25 W/m2. Xem g
ng hp th. khong cách nào t v trí c bng 0,010
W/m2 (nhập đáp án vào ô trống, làm tròn đến chữ số thập phân thứ hai)?
Lời giải:
Vì nguc xng s sóng âm trên mt mt cu có din tích S =
t cu (khong cách t n còi).
Ti v trí r1 = 15 m và r2, ta có I1 = và I2 =
=> =
Vy khong cách 75m tính t v trí c bng 0,010 W/m2.
Đề ôn thi đánh giá năng lực phần Khoa học
VnDoc.com xin gửi tới bạn đọc bài viết Bộ câu hỏi ôn thi đánh giá năng lực HSA phần Khoa học - Số 9 có đáp án kèm theo để bạn đọc cùng tham khảo. Bài viết tổng hợp gồm có 50 câu hỏi trắc nghiệm phần Khoa học với các môn Vật lí, Hóa học, Sinh học, Địa lí và Lịch sử. Đề có đáp án và lời giải chi tiết kèm theo. Mời các bạn cùng theo dõi bài viết dưới đây để có thêm tài liệu ôn thi kì thi đánh giá năng lực sắp tới nhé.