Bộ câu hỏi ôn thi đánh giá năng lực phần Tư duy định lượng - Số 6
ĐGNL năm 2025
Lớp:
ĐGNL-ĐGTD
Môn:
Toán
Dạng tài liệu:
Đề thi
Loại:
Tài liệu Lẻ
Loại File:
Word + PDF
Phân loại:
Tài liệu Tính phí

Trang 1 | 38
Bộ câu hỏi ôn thi đánh giá năng lực phần Tư duy định lượng
Câu 1:
Mt cây cu có dng cung c th hàm s c mô t trong h trc to
v tr hình v i.
Mt sà lan ch khc xp thành hình hp ch nht v cao so vi mc
c sông. Hi chiu rng ca khn nh sà lan có th
c gm cu (nhập đáp án vào ô trống, làm tròn kết quả đến hàng đơn vị)?
Lời giải:
Vi mm nm trên mt cu, khong cách t im n mng vi
giá tr cm .
. Do nên .
T vi , ta có .
Vy chiu rng ca khn nht là sà lan có th c gm cu.
Đáp án cần nhập là: .
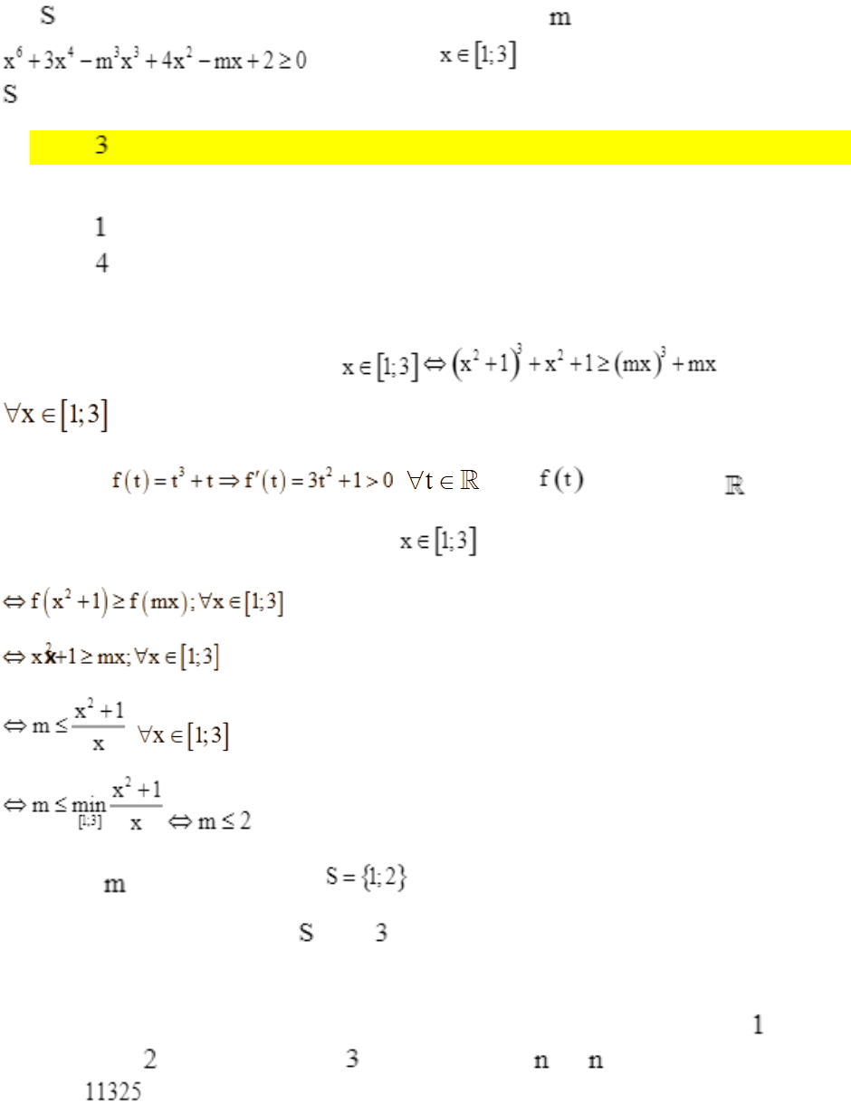
Câu 2:

Trang 2 | 38
Gi là tp hp tt c các giá tr a tham s b
i mi . Tng ca tt c các phn t thuc
bng:
A. .
B. 2.
C. .
D. .
Lời giải:
B
i mi ,
.
X
t h
m s
: . Vy ng bin trên .
Suy ra b
i mi
.
V
tham s .
Vy tng tt c các phn t thuc bng . Chọn A.
Câu 3:
ng cây trên mt mt hình tam giác theo quy lut: hàng th nht có cây,
hàng th hai có cây, hàng th ba có hàng th có cây. Bit r
trng ht cây. Hi s c trng theo cách trên là bao nhiêu (nhập đáp án vào ô
trống)?

Trang 3 | 38
Lời giải:
Gi s cây hàng th là .
Ta có: , , .
Nhn xét dãy s là cp s cng có , công sai .
. Suy ra
(vì ).
Vy s c trng là .
Đáp án cần nhập là: .
Câu 4:
i ta thit k mt cái tháp gm 8 tng. Din tích b mt trên ca mi tng bng na din tích
ca b mt trên ca ti và din tích mt trên ca tng 1 bng na din tích ca
tháp (có din tích là ). Din tích mt trên cùng ca tháp là:
A. .
B. .
C. .
D. .
Lời giải:
Đề ôn thi đánh giá năng lực phần Tư duy định lượng
VnDoc.com xin gửi tới bạn đọc bài viết Bộ câu hỏi ôn thi đánh giá năng lực phần Định lượng - Số 6 có đáp án để bạn đọc cùng tham khảo và có thêm tài liệu ôn thi kì thi đánh giá năng lực sắp tới nhé. Bài viết được tổng hợp gồm có 50 câu hỏi trắc nghiệm phần Toán học và xử lý số liệu. Đề có đáp án và lời giải chi tiết kèm theo. Mời các bạn cùng theo dõi bài viết dưới đây.