Đề ôn thi đánh giá năng lực Đại học Quốc gia Hà Nội 2025 - Đề 14
ĐGNL năm 2025
Lớp:
ĐGNL-ĐGTD
Dạng tài liệu:
Đề thi
Loại:
Tài liệu Lẻ
Loại File:
Word + PDF
Phân loại:
Tài liệu Tính phí

Trang 1 | 148
Đề thi Đánh giá năng lực ĐHQG Hà Nội form 2025 có đáp
án (Đề 14)
Câu 1:
Phần thi thứ nhất: Toán học và Xử lí số liệu
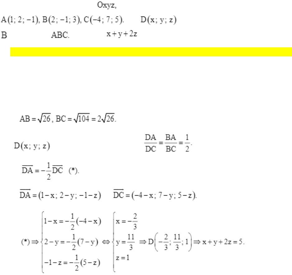
Trong không gian với hệ tọa độ cho tam giác ABC có
Gọi là chân đường phân giác trong góc
của tam giác Giá trị của bằng:
A. 5.
B. 4.
C. 14.
D. 15.
Lời giải:
Ta có
Gọi , theo tính chất phân giác ta có
Suy ra
Ta có và
Do đó Chọn A.
Câu 2:

Trang 2 | 148
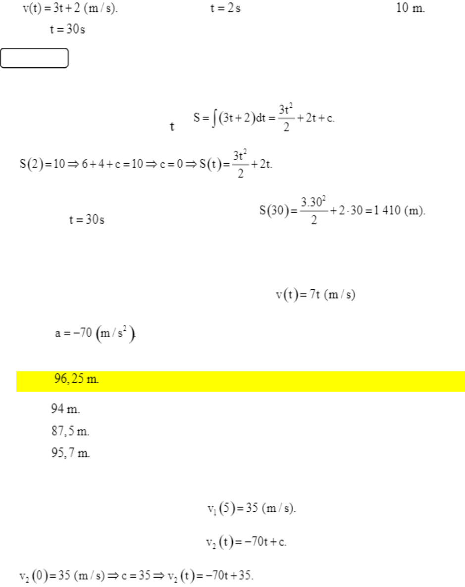
Một vật chuyển động với vận tốc thay đổi theo thời gian được tính bởi công
thức Biết tại thời điểm thì vật đi được quãng đường là Hỏi tại
thời điểm thì vật đi được quãng đường là bao nhiêu mt (nhập đáp án vào ô trống)?
Lời giải:
Quãng đường đi được tại thời gian là
Mà
Tại thời điểm thì vật đi được quãng đường là
Đáp án cần nhập là: 1410.
Câu 3:
Một ô tô bắt đầu chuyển động nhanh dần đều với vận tốc , đi được 5 giây thì
người lái xe phát hiện chướng ngại vật và phanh gấp. Ô tô tiếp tục chuyển động chậm dần đều
với gia tốc Quãng đường đi được của ô tô từ lúc bắt đầu chuyển bánh cho đến
khi dừng hẳn là:
A.
B.
C.
D.
Lời giải:
Vận tốc ô tô tại thời điểm bắt đầu phanh là
Vận tốc của chuyển động sau khi phanh là
Do

Trang 3 | 148
Khi xe dừng hẳn tức là:
Quãng đường đi được ô tô từ lúc bắt đầu chuyển bánh cho đến khi dừng hẳn là
. Chọn A.
Câu 4:
Cho hàm số có bảng biến thiên như sau:
Trong các số có bao nhiêu số dương?
A. 2.
B. 3.
C. 1.
D. 0.
Lời giải:
Dựa vào bảng biến thiên, ta thấy đồ thị hàm số có tiệm cận đứng
và tiệm cận ngang .
Ta có .
Hàm số đồng biến trên các khoảng và nên ta có
Đề thi đánh giá năng lực Đại học Quốc Gia Hà Nội 2025
Đề ôn thi đánh giá năng lực Đại học Quốc gia Hà Nội 2025 - Đề 14 có đáp án kèm theo được VnDoc.com tổng hợp và xin gửi tới bạn đọc cùng tham khảo nhé. Đề thi được tổng hợp có 150 câu hỏi gồm 50 câu hỏi Toán học và xử lí số liệu/Tư duy định lượng, 50 câu hỏi Văn học - Ngôn ngữ/Tư duy định tính và 50 câu hỏi Khoa học hoặc Tiếng Anh. Thí sinh làm đề trong thời gian 195 phút. Đề có đáp án và lời giải chi tiết kèm theo. Mời các bạn cùng theo dõi đề thi dưới đây để có thêm tài liệu ôn thi kì thi đánh giá năng lực, đánh giá tư duy sắp tới nhé.