Bộ câu hỏi ôn thi đánh giá năng lực phần Tư duy định lượng - Số 14
ĐGNL năm 2025
Lớp:
ĐGNL-ĐGTD
Môn:
Toán
Dạng tài liệu:
Đề thi
Loại:
Tài liệu Lẻ
Loại File:
Word + PDF
Phân loại:
Tài liệu Tính phí

Trang 1 | 43
Bộ câu hỏi ôn thi đánh giá năng lực phần Tư duy định lượng
Câu 1:
Phần thi thứ nhất: Toán học và Xử lí số liệu
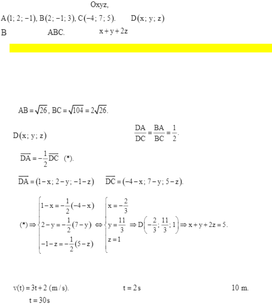
Trong không gian vi h t cho tam giác ABC có
Gi ng phân giác trong góc
ca tam giác Giá tr ca bng:
A. 5.
B. 4.
C. 14.
D. 15.
Lời giải:
Ta có
Gi , theo tính cht phân giác ta có
Suy ra
Ta có và
Chọn A.
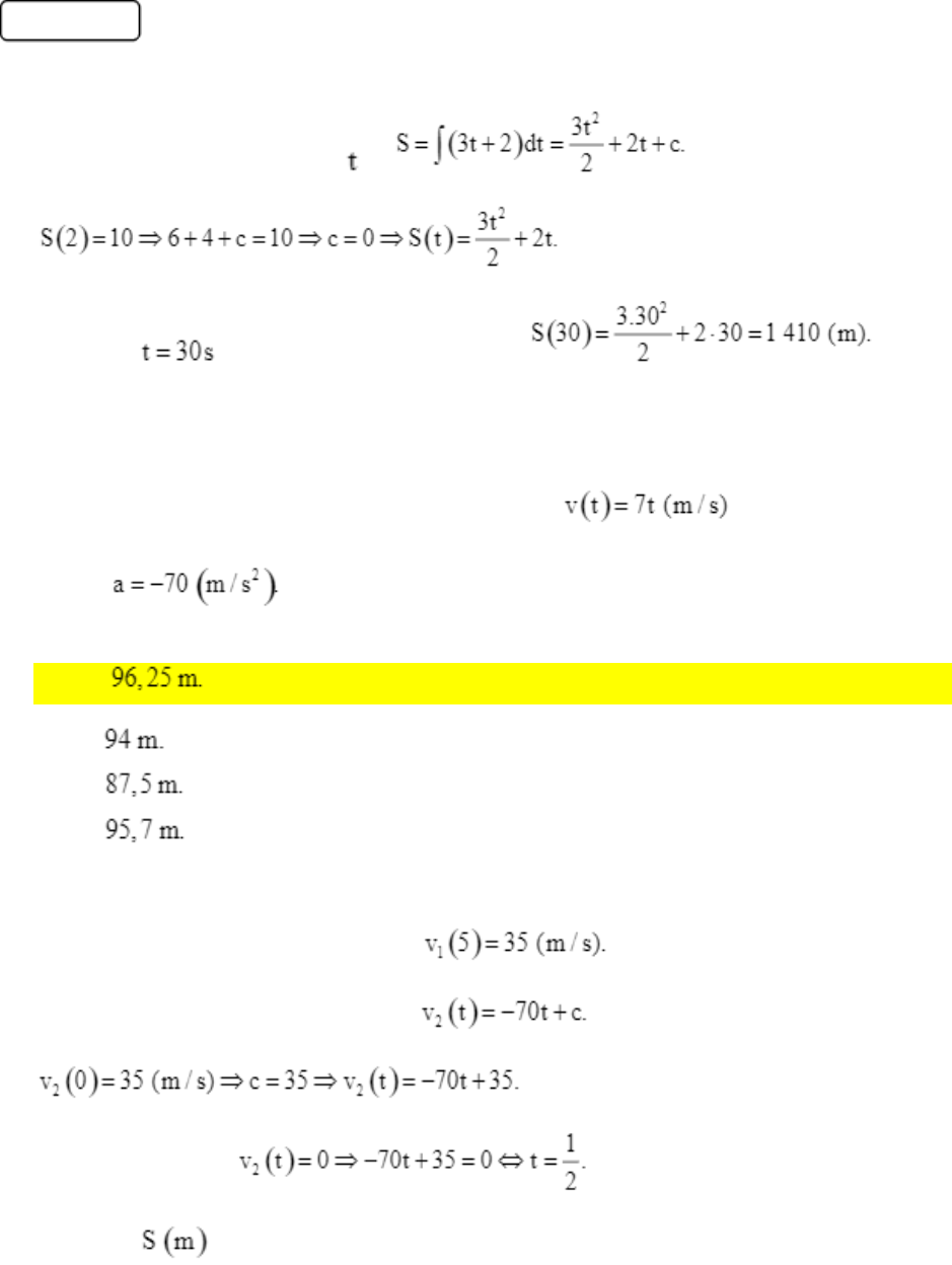
Câu 2:
Mt vt chuyng vi vn ti theo thc tính bi công
thc Bit ti thm thì vng là Hi ti
thm thì vng là bao nhiêu m
t (nhập đáp án vào ô trống)?

Trang 2 | 43
Lời giải:
c ti thi gian là
Mà
Ti thm thì vng là
Đáp án cần nhập là: 1410.
Câu 3:
Mt ô tô bu chuyn ng nhanh du vi vn tc c 5 giây thì
i lái xe phát hing ngi vt và phanh gp. Ô tô tip tc chuyng chm du
vi gia tc c ca ô tô t lúc bu chuyn
khi dng hn l
:
A.
B.
C.
D.
Lời giải:
Vn tc ô tô ti thm bu phanh là
Vn tc ca chuyng sau khi phanh là
Do
Khi xe dng hn tc là:
ng c ô tô t lúc bu chuyn khi dng hn là

Trang 3 | 43
. Chọn A.
Câu 4:
Cho hàm s có bng bi
Trong các s có bao nhiêu s
A. 2.
B. 3.
C. 1.
D. 0.
Lời giải:
Da vào b
ng bin thiên, ta th th hàm s có tim cng
và tim cn ngang .
Ta có .
Hàm s ng bin trên các khong và nên ta c
Đề ôn thi đánh giá năng lực phần Tư duy định lượng
Bộ câu hỏi ôn thi đánh giá năng lực phần Định lượng - Số 14 có đáp án kèm theo là tài liệu hữu ích giúp bạn đọc có thể trau dồi, luyện tập nội dung kiến thức để chuẩn bị thật tốt cho kì thi đánh giá năng lực sắp tới nhé. Bài viết được tổng hợp gồm có 50 câu hỏi trắc nghiệm phần Toán học và xử lý số liệu. Đề có đáp án và lời giải chi tiết kèm theo. Mời các bạn cùng theo dõi bài viết dưới đây.