Đề ôn thi đánh giá năng lực Đại học Quốc gia Hà Nội 2025 - Đề 10
ĐGNL năm 2025
Lớp:
ĐGNL-ĐGTD
Dạng tài liệu:
Đề thi
Loại:
Tài liệu Lẻ
Loại File:
PDF
Phân loại:
Tài liệu Tính phí

Trang 1 | 137
Đề thi Đánh giá năng lực ĐHQG Hà Nội form 2025 có đáp
án (Đề 10)
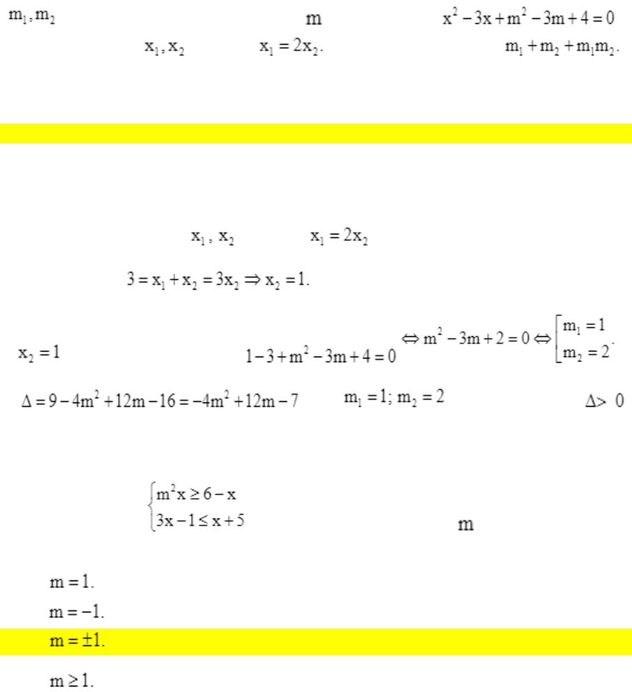
Câu 1:
Gọi là hai giá trị khác nhau của tham số để phương trình
có hai nghiệm phân biệt thoả mãn Tính giá trị của biểu thức
A. 4.
B. 3.
C. 5.
D. 6.
Lời giải:
Vì phương trình có hai nghiệm thỏa mãn .
Từ định lí Viet suy ra
Thay vào phương trình ta được:
Ta có . Nên thỏa mãn điều kiện
để phương trình có hai nghiệm phân biệt. Chọn C.
Câu 2:
Cho hệ bất phương trình . Tất cả các giá trị của tham số để hệ bất phương
trình đã cho có nghiệm duy nhất là
A.
B.
C.
D.
Lời giải:

Trang 2 | 137
Bất phương trình
Bất phương trình
Để hệ bất phương trình có nghiệm duy nhất là tập hợp có đúng một phần tử
Chọn C.
Câu 3:
Trên mặt phẳng toạ độ đường thẳng tạo với hai trục tọa độ một tam giác.
Tổng độ dài các đường cao của tam giác đó là
A.
B.
C.
D. 20.
Lời giải:
Gọi lần lượt là giao điểm của đường thẳng đã cho với Ox, Oy.
Ta có Do đó .
Gọi là hình chiếu của lên AB. Khi đó:
Tam giác OAB là tam giác vuông tại O nên tổng độ dài các đường cao là
Chọn B.
Câu 4:

Trang 3 | 137
Trên mặt phẳng tọa độ cho bốn điểm Chọn
ngẫu nhiên một điểm có tọa độ (với là các số nguyên) nằm trong hình chữ nhật
(kể cả nằm trên các cạnh). Gọi là biến cố “ đều chia hết cho 2”. Xác suất của
biến cố là
A.
B.
C.
D. 1.
Lời giải:
Dựa vào hình vẽ, ta thấy
và
Suy ra và
(Mỗi điểm là một giao điểm trên hình vẽ)
Do đó, số phần tử của không gian mẫu là
Ta có A: “ đều chia hết cho 2”. Suy ra
Theo quy tắc nhân, ta có
Vậy xác suất cần tính là Chọn C.
Câu 5:
Cho 2 tập khác rỗng với là tham số thực. Có bao nhiêu giá
trị nguyên của để (nhập đáp án vào ô trống)?
Đề thi đánh giá năng lực Đại học Quốc Gia Hà Nội 2025
Đề ôn thi đánh giá năng lực Đại học Quốc gia Hà Nội 2025 - Đề 10 có đáp án là tài liệu hữu ích giúp bạn đọc có thể trau dồi, luyện tập kiến thức để chuẩn bị thật tốt cho kì thi đánh giá năng lực, đánh giá tư duy sắp tới nhé.
Đề thi được tổng hợp có 150 câu hỏi gồm 50 câu hỏi Toán học và xử lí số liệu/Tư duy định lượng, 50 câu hỏi Văn học - Ngôn ngữ/Tư duy định tính và 50 câu hỏi Khoa học hoặc Tiếng Anh. Thí sinh làm đề trong thời gian 195 phút. Đề có đáp án và lời giải chi tiết kèm theo. Mời các bạn cùng theo dõi đề thi dưới đây.