Đề cương ôn tập học kì 1 môn Toán lớp 7 năm học 2019 - 2020 trường Vinschool
Đề cương ôn tập Toán 7 học kì 1
VnDoc giới thiệu Đề cương ôn thi học kì 1 môn Toán lớp 7 năm học 2019 - 2020 trường Vinschool bao gồm các dạng bài tập Đại số và Hình học trong chương trình Toán 7 học kì I. Đề cương ôn tập toán 7 học kì 1 này là tài liệu tham khảo hữu ích dành cho các bạn học sinh lớp 7, giúp các bạn luyện tập và chuẩn bị tốt nhất cho kì thi học kì 1 sắp diễn ra.
Đề cương ôn thi học kì 1 môn Toán lớp 7 năm học 2019 - 2020 được biên soạn bám sát với đề thi thực, với các dạng câu hỏi cả trắc nghiệm và tự luận ở cả hai môn Đại số và Hình học, giúp các em học sinh ôn tập và chuẩn bị tốt nhất cho bài thi học kì 1 môn Toán 7 sắp tới của mình. Sau đây mời các thầy cô và các em tham khảo chi tiết.
HỆ THỐNG GIÁO DỤC VINSCHOOL
ĐỀ CƯƠNG ÔN TẬP HỌC KÌ I NĂM HỌC 2019 – 2020
Môn Toán lớp 7
A/ NỘI DUNG ÔN TẬP
I/ Phạm vi ôn tập
|
Chủ đề |
Nội dung |
|
|
Đại số |
Số hữu tỉ. Số thực |
- Các phép toán cộng, trừ, nhân, chia, lũy thừa, giá trị tuyệt đối của một số hữu tỉ - Tỉ lệ tức, tính chất dãy số bằng nhau - Số vô tỉ, khai niệm căn bậc hai, số thực |
|
Đại lượng tỉ lệ thuận, đại lượng tỉ lệ nghịch |
- Định nghĩa, tính chất của đại lượng tỉ lệ thuận, đại lượng tỉ lệ nghịch |
|
|
Hình học |
Đường thẳng vuông góc, đường thẳng song song |
- Định nghĩa, tính chất, dấu hiện nhận biết hai đường thẳng vuông góc, hai đường thẳng song song - Các định lý về mối quan hệ giữa tính vuông góc và tính song song |
|
Tam giác |
- Định lý tổng ba góc của tam giác, góc ngoài của tam giác - Các trường hợp bằng nhau của tam giác (c.c.c;c.g.c) |
|
II/ Bài tập
Dạng 1: Thực hiện phép tính
Bài 1: Thực hiện phép tính (Tính hợp lý nếu có thể)

Dạng 2: Tìm số chưa biết
Bài 2: Tìm x biết:

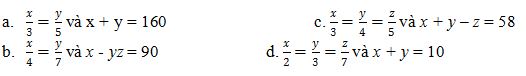
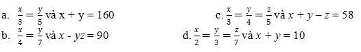
Bài 3: Tìm x,y,z biết:

Bài 4: Cho biết hai đại lượng x, y tỉ lệ thuận với nhau và khi x = 2 thì y = -6
a. Hãy biểu diễn y theo x
b. Tính giá trị của y khi x = 5 và x = -10
Dạng 3: Bài toán có lời văn
Bài 6: Số học sinh của lớp 7A thích thể thao, âm nhạc,thời trang lần lượt tỉ lệ là 2;3;5. Biết số học sinh thích thời trang nhiều hơn số học sinh thích âm nhạc là 6. Hỏi lớp 7A có bao nhiêu học sinh thích thể thao, âm nhạc,thời trang?
Bài 7: Với số tiền để mua 150 mét vải loại I có thể mua được bao nhiêu mét vải loại II biết giá tiền vải loại II chỉ bằng 90% giá tiền vải loại I?
Bài 8: Ba đơn vị kinh doanh góp vốn theo tỉ lệ 3;5;7. Hỏi mỗi đơn vị được chia bao nhiêu tiền biết tổng tiền lãi là 450 triệu đồng và tiền lãi được chia theo tỉ lệ thuận với số vốn.
Bài 9: Cho biết 36 học sinh trong hội đồng của trường Trung học Vinschool hoàn thành dự án trang trí lều sách Book Week trong 12 ngày. Hỏi cần bao nhiêu học sinh tham gia để có thể hoàn thành dự án đó trong 8 ngày. (biết năng suất làm việc của học sinh như nhau)?
Bài 10: Ba tổ A,B,C cùng sản xuất một loại sản phẩm. Tổ A hoàn thành 1 sản phẩm hết 2 giờ, tổ B hoàn thành 1 sản phẩm hết 3 giờ, tổ C hoàn thành 1 sản phẩm hết 4 giờ. Trong cùng một thời gian như nhau, tổng số sản phẩm mà tổ A và tổ C làm được nhiều hơn số sản phẩm tổ B làm được là 30 sản phẩm. Tính sản phẩm mỗi tổ làm được trong số thời gian đó.
Dạng 4: Hình học
Bài 11: Cho tam giác ABC có AB=AC. Gọi M là trung điểm của BC. Chứng minh rằng:
a. AMB = AMC
b. AM là tia phân giác của góc
c. AM ⊥ BC
d. Vẽ At là tia phân giác của góc ngoài ở đỉnh A của Chứng minh:At//BC
Bài 12: Cho tam giác ABC, = 900. Trên BC lấy E sao cho BE = BA. Tia phân giác của góc B cắt AC ở D.
a. Chứng minh Δ ABD = Δ EBD
b. Tính số đo
\(\hat{BED}\)
c. Chứng minh BD ⊥ AE
Bài 13: Cho tam giác ABC, D là trung điểm của AB, E là trung điểm của AC. Vẽ F sao cho E là trung điểm của DF. Chứng minh:
a. ADE = CFE
b. DB = CF
c. AB // CF
d. DE // BC
Bài 14: Cho tam giác ABC có BA<BC. Trên tia BA lấy điểm D sao cho BD = BC.Tia phân giác của góc B cắt AC và DC lần lượt tại E và I.
a. Chứng minh rằng: ΔBEC =Δ BED
b. Chứng minh ID = IC
c. Từ A kẻ AH DC, H. Chứng minh: AH // BI
Bài 15: Cho tam giác ABC. Trên tia đối AB lấy D sao cho AD = AB, trên tia đối AC lấy điểm E sao cho AE = AC.
a. Chứng minh rằng: BE = CD
b. Chứng minh: BE//CD
c. Gọi M là trung điểm của BE và N là trung điểm của CD. Chứng minh:AM = AN
Trên đây, VnDoc đã giới thiệu tới các bạn Đề cương ôn thi học kì 1 môn Toán lớp 7 năm học 2019 - 2020 trường Vinschool. Ngoài ra, mời các bạn tham khảo thêm: Giải bài tập Toán lớp 7, Giải Vở BT Toán 7, Đề thi học kì 1 lớp 7, Đề thi giữa kì 1 lớp 7, Đề thi học kì 2 lớp 7... được cập nhật liên tục trên VnDoc.com.
Tham khảo thêm:
- Bộ đề kiểm tra học kì 1 Toán 7 có đáp án năm 2019
- Đề thi học kì 1 Toán 7 có đáp án phòng GD&ĐT huyện Thanh Trì năm học 2019 - 2020
- Đề thi học kì 1 lớp 7 môn Toán trường THPT Chuyên Trần Đại Nghĩa năm học 2019 - 2020
- Đề thi học kì 1 lớp 7 môn Toán trường THCS Dịch Vọng năm học 2019 - 2020
- Đề thi học kì 1 lớp 7 môn Toán trường THCS Lương Thế Vinh năm học 2019 - 2020
- Đề thi học kì 1 Toán 7 Phòng GD&ĐT Quận 12, TP Hồ Chí Minh năm học 2019 - 2020
- Đề thi học kì 1 lớp 7 môn Toán Phòng GD&ĐT Quận 10, TP Hồ Chí Minh năm học 2019 - 2020
- Đề thi Toán 7 học kì 1 Phòng GD&ĐT Quận 4, TP Hồ Chí Minh năm học 2019 - 2020
- Đề thi Toán 7 học kì 1 Phòng GD&ĐT Quận Phú Nhuận, TP Hồ Chí Minh năm học 2019 - 2020