Giải SBT Toán 11 bài 3: Hàm số liên tục
Toán 11 - Hàm số liên tục
VnDoc xin giới thiệu tới các bạn học sinh tài liệu Giải SBT Toán 11 bài 3: Hàm số liên tục, chắc chắn nội dung tài liệu sẽ giúp các bạn học sinh có kết quả cao hơn trong học tập. Mời thầy cô và các bạn học sinh cùng tham khảo.
Giải SBT Toán 11 bài 4: Cấp số nhân
Giải SBT Toán 11 ôn tập chương 3: Dãy số. Cấp số cộng và cấp số nhân
Giải SBT Toán 11 bài 3
Bài 3.1 trang 168 Sách bài tập (SBT) Đại số và giải tích 11
Cho hàm số f(x)=(x−1)|x|/x
Vẽ đồ thị của hàm số này. Từ đồ thị dự đoán các khoảng trên đó hàm số liên tục và chứng minh dự đoán đó.
Giải:
a)
f(x)=(x−1)|x|/x = x−1, nếu x>0; 1−x, nếu x<0. Hàm số này có tập xác định là R∖{0}
b)

Từ đồ thị (H.7) dự đoán f(x) liên tục trên các khoảng (−∞;0),(0;+∞) nhưng không liên tục trên R. Thật vậy,
- Với x>0,f(x)=x−1 là hàm đa thức nên liên tục trên R do đó liên tục trên (0;+∞)
- Với x<0,f(x)=1−x cũng là hàm đa thức nên liên tục trên R do đó liên tục trên (−∞;0)
Dễ thấy hàm số gián đoạn tại x = 0 vì limx→0+f(x)=−1,limx→0−f(x)=1
Bài 3.2 trang 168 Sách bài tập (SBT) Đại số 11 và giải tích 11
Cho ví dụ về một hàm số liên tục trên (a; b] và trên (b; c) nhưng không liên tục trên (a; c)
Giải:
Xét hàm số

- Trường hợp x≤0
f(x)=x+2 là hàmđa thức, liên tục trên R nên nó liên tục trên (-2; 0]
- Trường hợp x > 0
f(x)=1/x2 là hàm số phân thức hữu tỉ nên liên tục trên (2; 0) thuộc tập xác định của nó.
Như vậy f(x)f(x) liên tục trên (-2; 0] và trên (0; 2)
Tuy nhiên, vì limx→0+f(x)=limx→0+1/x2=+∞ nên hàm số f(x) không có giới hạn hữu hạn tại x = 0. Do đó, nó không liên tục tại x = 0. Nghĩa là không liên tục trên (-2; 2)
Bài 3.3 trang 169 Sách bài tập (SBT) Đại số và giải tích 11
Chứng minh rằng nếu một hàm số liên tục trên (a; b] và trên [b; c) thì nó liên tục trên (a; c)
Giải:
Vì hàm số liên tục trên (a; b] nên liên tục trên (a; b) và limx→b−f(x)=f(b) (1)
Vì hàm số liên tục trên [b; c) nên liên tục trên (b; c) và limx→b+f(x)=f(b) (2)
Từ (1) và (2) suy ra f(x) liên tục trên các khoảng (a; b), (b; c) và liên tục tại x = b (vì limx→bf(x)=f(b)). Nghĩa là nó liên tục trên (a; c)
Bài 3.4 trang 169 Sách bài tập (SBT) Đại số và giải tích 11
Cho hàm số y=f(x) xác định trên khoảng (a; b) chứa điểm x0
Chứng minh rằng nếu limx→x0f(x)−f(x0)/x−x0=L thì hàm số f(x) liên tục tại điểm x0
Hướng dẫn: Đặt g(x)=f(x)−f(x0)/x−x0−L và biểu diễn f(x)) qua g(x)
Giải:
Đặt g(x)=f(x)−f(x0)/x−x0−L
Suy ra g(x) xác định trên (a;b)∖{x0} và limx→x0g(x)=0
Mặt khác, f(x)=f(x0)+L(x−x0)+(x−x0)g(x) nên
limx→x0f(x)=limx→x0[f(x0)+L(x−x0)+x−x0)g(x)]
=limx→x0f(x0)+limx→x0L(x−x0)+limx→x0(x−x0).limx→x0g(x)=f(x0)
Vậy hàm số y=f(x) liên tục tại
Bài 3.5 trang 169 Sách bài tập (SBT) Đại số và giải tích 11
Xét tính liên tục của các hàm số sau:
a) f(x)=√x+5 tại x = 4;
b)

Giải:
a) Hàm số f(x)=√x+5 có tập xác định là [−5;+∞). Do đó, nó xác định trên khoảng (−5;+∞) chứa x = 4
Vì limx→4f(x)=limx→4√x+5=3=f(4) nên f(x) liên tục tại x = 4
b) Hàm số:

có tập xác định là R
Ta có, g(1)=−2 (1)
limx→1−g(x)=limx→1−x−1/√2−x−1 (2)
=limx→1−(x−1)(√2−x+1)/1−x
=limx→1−(−√2−x−1)=−2
=limx→1+g(x)=limx→1+(−2x)=−2 (3)
Từ (1), (2) và (3) suy ra limx→1g(x)=−2=g (1)
Vậy g(x) liên tục tại x = 1
Bài 3.6 trang 169 Sách bài tập (SBT) Đại số và giải tích 11
Xét tính liên tục của các hàm số sau trên tập xác định của chúng:
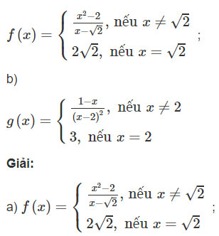
a)

Tập xác định của hàm số là D = R
- Nếu x≠√2 thì f(x)=x2−2/x−√2
Đây là hàm phân thức hữu tỉ nên liên tục trên các khoảng (−∞;√2) và (√2;+∞)
- Tại x=√2:
limx→√2f(x)=limx→√2x2−2/x−√2
=limx→√2(x−√2)(x+√2)/x−√2
=limx→√2(x+√2)=2√2=f(√2)
Vậy hàm số liên tục tại x=√2
Kết luận: y=f(x) liên tục trên R

- Nếu x≠2 thì g(x)=1−x/(x−2)2 là hàm phân thức hữu tỉ, nên nó liên tục trên các khoảng (−∞,2) và (2,+∞)
Tại x = 2: limx→2g(x)=limx→21−x/(x−2)2=−∞
Vậy hàm số y=g(x) không liên tục tại x = 2
Kết luận: y=g(x) liên tục trên các khoảng (−∞,2) và (2,+∞) nhưng gián đoạn tại x = 2
Bài 3.7 trang 169 Sách bài tập (SBT) Đại số và giải tích 11
Tìm giá trị của tham số m để hàm số

Giải:
m = 3
Bài 3.8 trang 169 Sách bài tập (SBT) Đại số và giải tích 11
Tìm giá trị của tham số m để hàm số

Giải:
m=±12
Bài 3.9 trang 169 Sách bài tập (SBT) Đại số và giải tích 11
Chứng minh rằng phương trình
a) x5−3x−7=0 luôn có nghiệm;
b) cos2x=sinx−2 có ít nhất hai nghiệm trong khoảng (−π/6;π);
c)
\(\sqrt{x^3+6x+1}-2=0\) có nghiệm dương.
Giải:
a) Xét f(x)=x5−3x−7 và hai số 0; 2.
b) Xét f(x)=cos2x−2sinx+2f trên các khoảng (−π/6;π/2),(π/2;π)
c) Ta có,
\(\sqrt{x^3+6x+1}-2=0\)
⇔x3+6x+1=4
⇔x3+6x−3=0
Hàm số f(x)=x3+6x−3 liên tục trên R nên liên tục trên đoạn [0; 1] (1)
Ta có f(0)f(1)=−3.4 (2)
Từ (1) và (2) suy ra phương trình x3+6x−3=0 có ít nhất một nghiệm thuộc (0; 1)
Do đó, phương trình
\(\sqrt{x^3+6x+1}-2=0\) có ít nhất một nghiệm dương.
Bài 3.10 trang 170 Sách bài tập (SBT) Đại số và giải tích 11
Phương trình x4−3x2+1=0 có nghiệm hay không trong khoảng (-1; 3)?
Giải:
Hướng dẫn: Xét f(x)=x4−3x3+1=0 trên đoạn [-1; 1]
Trả lời: Có.
-----------------------------------
Trên đây VnDoc.com đã giới thiệu tới bạn đọc tài liệu: Giải SBT Toán 11 bài 3: Hàm số liên tục. Để có kết quả cao hơn trong học tập, VnDoc xin giới thiệu tới các bạn học sinh tài liệu Sinh học lớp 11, Vật lý lớp 11, Hóa học lớp 11, Giải bài tập Toán 11 mà VnDoc tổng hợp và đăng tải.