Giải SBT Toán 11 bài 2: Phương trình lượng giác cơ bản
Toán 11 - Phương trình lượng giác cơ bản
VnDoc xin giới thiệu tới bạn đọc tài liệu Giải SBT Toán 11 bài 2: Phương trình lượng giác cơ bản, chắc chắn nội dung tài liệu sẽ là nguồn thông tin hữu ích để giúp các bạn học sinh có kết quả cao hơn trong học tập. Mời thầy cô và các bạn học sinh cùng tham khảo.
Giải SBT Toán 11 bài 2
Bài 2.1 trang 22 Sách bài tập (SBT) Đại số và giải tích 11
Giải các phương trình
a) sin3x=−√3/2
b) sin(2x−15o)=√2/2
c) sin(x/2+10o)=−1/2
d) sin4x=2/3
Giải:
a) x=−π/9+k.2π/3, k∈Z và x=4π/9+k.2π/3, k∈Z
b) x=30o+k180o, k∈Z và x=75o+k180o, k∈Z
c) x=−80o+k720o, k∈Z và x=400o+k720o, k∈Z
d) x=1/4arcsin2/3+k.π/2,k∈Z và x=π/4−1/4arcsin2/3+k.π/2,k∈Z
Bài 2.2 trang 22 Sách bài tập (SBT) Đại số và giải tích 11
Giải các phương trình
a) cos(x+3)=1/3
b) cos(3x−45o)=√3/2
c) cos(2x+π/3)=−1/2
d) (2+cosx)(3cos2x−1)=0
Giải:
a) x=−3±arccos1/3+k2π,k∈Z
b) x=25o+k120o,x=5o+k120o,k∈Z
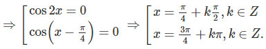
c) x=π/6+kπ,x=−π/2+kπ,k∈Z
d) x=±1/2arccos1/3+kπ,k∈Z
Bài 2.3 trang 23 Sách bài tập (SBT) Đại số và giải tích 11
Giải các phương trình
a) tan(2x+45o)=−1
b) cot(x+π/3)=√3
c) tan(x/2−π/4)=tanπ/8
d) cot(x/3+20o)=−√3/3
Giải:
a) x=−45o+k90o,k∈Z
b) x=−π/6+kπ,k∈Z
c) x=3π/4+k2π,k∈Z
d) x=300o+k540o,k∈Z
Bài 2.4 trang 23 Sách bài tập (SBT) Đại số và giải tích 11
Giải các phương trình:
a) sin3x/cos3x−1=0
b) cos2xcot(x−π/4)=0
c) tan(2x+60o)cos(x+75o)=0
d) (cotx+1)sin3x=0
Giải:
a) Điều kiện: cos3x ≠ 1. Ta có:
sin3x = 0 ⇒ 3x = kπ. Do điều kiện, các giá trị k = 2m, m ∈ Z bị loại nên 3x = (2m + 1)π. Vậy nghiệm của phương trình là x=(2m+1)π/3, m∈Z
b) Điều kiện: sin(x−π/4)≠0. Biến đổi phương trình:
cos2x.cot(x−π/4)=0⇒cos2x.cos(x−π/4)=0

Do điều kiện, các giá trị x=π/4+2m.π/2,m∈ bị loại. Vậy nghiệm của phương trình là:
x=π/4+(2m+1)π/2,m∈Z và x=3π/4+kπ,k∈Z
c) Điều kiện:
cos(2x+60o)≠0
tan(2x+60o)cos(x+75o)=0
⇒sin(2x+60o)cos(x+75o)=0

Do điều kiện ở trên, các giá trị x=15o+k180o, k∈Z bị loại.
Vậy nghiệm của phương trình là: x=−30o+k90o, k∈Z
d) Điều kiện: sinx ≠ 0. Ta có:
(cotx+1)sin3x=0

Do điều kiện sinx ≠ 0 nên những giá trị x=k.π/3 và k=3m, m∈Z bị loại.
Vậy nghiệm của phương trình là:
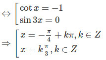
x=−π/4+kπ;x=π/3+kπ và x=2π/3+kπ,k∈Z
Bài 2.5 trang 23 Sách bài tập (SBT) Đại số và giải tích 11
Tìm những giá trị của x để giá trị của các hàm số tương ứng sau bằng nhau

Giải:
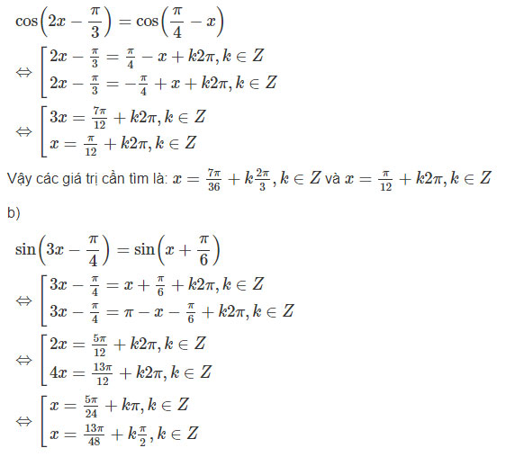
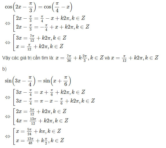
a)

Vậy các giá trị cần tìm là: x=5π/24+kπ,k∈Z và x=13π/48+k.π/2,k∈Z
c)
tan(2x+π/3)=tan(π/5−x)
⇔ cos(2x+π/5)≠0;cos(π/5−x)≠0 (1);2x+π/5=π/5−x+kπ,k∈Z (2)(2)⇔x=kπ/3,k∈Z
Các giá trị này thỏa mãn điều kiện (1). Vậy ta có: x=kπ/3,k∈Z
d)
cot3x=cot(x+π/3)
⇔ sin3x≠0;sin(x+π/3)≠0(3);3x=x+π/3+kπ,k∈Z (4)(4)⇔x=π/6+kπ/2,k∈Z
Nếu k = 2m + 1, m ∈ Z thì các giá trị này không thỏa mãn điều kiện (3).
Suy ra các giá trị cần tìm là x=π/6+mπ,m∈Z
Bài 2.6 trang 23 Sách bài tập (SBT) Đại số và giải tích 11
Giải các phương trình
a) cos 3x - sin 2x = 0
b) tanx. tan 2x = - 1
c) sin 3x + sin 5x = 0
d) cot 2x. cot 3x = 1
Giải:
a)
cos3x−sin2x=0
⇔cos3x=sin2x
⇔cos3x=cos(π/2−2x)
⇔3x=±(π/2−2x)+k2π,k∈Z
⇔[5x=π/2+k2π,k∈Z;x=−π/2+k2π,k∈Z
Vậy nghiệm của phương trình là: x=π/10+k2π/5,k∈Z và x=−π/2+k2π,k∈Z
b) Điều kiện của phương trình: cos x ≠ 0 và cos2x ≠ 0
tanx.tan2x=−1
⇒sinx.sin2x=−cosx.cos2x
⇒cos2x.cosx+sin2x.sinx=0
⇒cosx=0
Kết hợp với điều kiênh ta thấy phương trình vô nghiệm.
c)
sin3x+sin5x=0
⇔2sin4x.cosx=0
⇔[sin4x=0;cosx=0
⇔[4x=kπ,k∈Z;x=π/2+kπ,k∈Z
Vậy nghiệm của phương trình là: x=kπ/4,k∈Z và x=π/2+kπ,k∈Z
d) Điều kiện: sin2x ≠ 0 và sin 3x ≠ 0
cot2x.cot3x=1
⇒cos2x.cos3x=sin2x.sin3x
⇒cos2x.cos3x−sin2x.sin3x=0
⇒cos5x=0⇒5x=π/2+kπ,k∈Z
⇒x=π/10+kπ/5,k∈Z
Với k = 2 + 5m, m ∈ Z thì
x=π/10+(2+5m).π/5=π/10+2π/5+mπ
=π/2+mπ,m∈Z
Lúc đó sin2x=sin(π+2mπ)=0, không thỏa mãn điều kiện.
Có thể suy ra nghiệm phương trình là x=π/10+kπ/5,k∈Z và k ≠ 2 + 5m, m ∈ Z
-----------------------------------
Trên đây VnDoc.com đã giới thiệu tới bạn đọc tài liệu: Giải SBT Toán 11 bài 2: Phương trình lượng giác cơ bản. Để có kết quả cao hơn trong học tập, VnDoc xin giới thiệu tới các bạn học sinh tài liệu Sinh học lớp 11, Vật lý lớp 11, Hóa học lớp 11, Giải bài tập Toán 11 mà VnDoc tổng hợp và đăng tải.