Giải SBT Toán 11 đề toán tổng hợp chương 1: Phép dời hình và phép đồng dạng trong mặt phẳng
Giải SBT Toán 11 đề toán tổng hợp chương 1
VnDoc xin giới thiệu tới thầy cô và các bạn học sinh tài liệu Giải SBT Toán 11 đề toán tổng hợp chương 1: Phép dời hình và phép đồng dạng trong mặt phẳng, với nội dung tài liệu được tổng hợp chi tiết và chính xác sẽ là nguồn thông tin hay để giúp các bạn học sinh học tập tốt hơn môn Toán.
Giải SBT Toán 11 bài 6: Khái niệm về phép dời hình và hai hình bằng nhau
Giải SBT Toán 11 bài 7: Phép vị tự
Giải SBT Toán 11 bài 8: Phép đồng dạng
Giải SBT Toán 11 ôn tập chương 1: Phép dời hình và phép đồng dạng trong mặt phẳng
Phép dời hình và phép đồng dạng trong mặt phẳng
Bài 1.43 trang 40 Sách bài tập (SBT) Hình học 11
Trong mặt phẳng Oxy cho đường thẳng d:2x−y+6=0. Viết phương trình đường thẳng d’ là ảnh của d qua phép đối xứng tâm I(−2;1).
Giải:
Dùng công thức tọa độ của phép đối xứng tâm I(−2;1), ta có:
M′=D1(M)
Thế (x;y) vào phương trình d, ta có phương trình
d′:2(−4−x′)−(2−y′)+6=0
⇒d′:2x′−y′+4=0. Đổi kí hiệu, ta có phương trình:
d′:2x−y+4=0
Bài 1.44 trang 40 Sách bài tập (SBT) Hình học 11
Trong mặt phẳng Oxy cho đường tròn (C):x2+y2+2x−4y−11=0. Tìm phép tịnh tiến biến (C) thành (C′):(x−10)2+(y+5)2=16
Giải:
(C) có tâm I(−1;2), bán kính R = 4. (C’) có tâm I′(10;−5), bán kính R’ = 4. Vậy (C′)=Tv→(C),v→=II′→=(11;−7).
Bài 1.45 trang 40 Sách bài tập (SBT) Hình học 11
Trong mặt phẳng Oxy cho hai đường thẳng d:x−5y+7=0 và d′:5x−y−13=0. Tìm phép đối xứng qua trục biến d thành d’.
Giải:
Nhận xét d và d’ không song song nên phép đối xứng trục biến d thành d’ có trục là phân giác của góc tạo bởi d và d’. Phương trình các đường phân giác là:

Bài 1.46 trang 40 Sách bài tập (SBT) Hình học 11
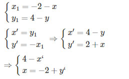
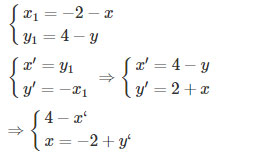
Trong mặt phẳng Oxy cho đường thẳng d có phương trình 3x−y−3=0. Viết phương trình đường thẳng d1 là ảnh của d qua phép dời hình có được bằng cách thực hiện liên tiếp phép đối xứng tâm I(−1;2) và phép quay tâm O góc quay -90°.
Giải:
Giả sử M1=DI(M) và M′=Q(O;−900)(M1). Ta có

Thế (x;y) theo (x′;y′) vào phương trình d ta có:
3(y′−2)−(4−x′)−3=0
⇔x′+3y′−13=0
⇔x′+3y′−13=0
Vậy phương trình d’ là x+3y−13=0
Bài 1.47 trang 40 Sách bài tập (SBT) Hình học 11
Trong mặt phẳng Oxy cho đường tròn (C):(x−1)2+(y−2)2=9. Viết phương trình đường tròn ảnh của đường tròn đã cho qua phép đối xứng trục d:x=1
Giải:
Chỉ cần tìm ảnh của tâm đường tròn qua trục d.
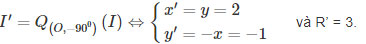
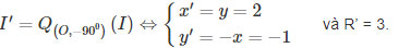
Bài 1.48 trang 40 Sách bài tập (SBT) Hình học 11
Trong mặt phẳng Oxy cho đường tròn (C):(x−1)2+(y−2)2=9. Viết phương trình đường tròn ảnh của đường tròn đã cho qua phép quay Q(0;−90∘) với O là gốc tọa độ.
Giải:
(C) có tâm I(1;2), bán kính R = 3. Gọi I’; R lần lượt là tâm và bán kính của đường tròn ảnh, ta có:
![]()
Vậy phương trình (C’) là (x−2)2+(y+1)2=9
Bài 1.49 trang 41 Sách bài tập (SBT) Hình học 11
Cho tam giác ABC. Trong nửa mặt phẳng có bờ là đường thẳng BC không chứa điểm A, ta dựng hình vuông BCDE. Kẻ DM vuông góc với AB, EN vuông góc với AC, và kẻ đường cao AH của tam giác ABC. Chứng minh rằng ba đường thẳng AD, EN, và AH đồng quy.
Giải:

Nếu ta “kéo“ tam giác ABC xuống theo phương AH sao cho B trùng E, C trùng D thì A trùng với A’. Khi đó MD, EN, AH là ba đường cao của tam giác A’ED nên chúng đồng quy.
Thực hiện phép tịnh tiến theo vectơ BE→ ta có
TBE→:A↦A′
B↦E
C↦D
Khi đó, ta có: A′E∥AB,A′D∥AC
Gọi I=DM∩EN
Ta có:

Tương tự, ta có: EN⊥A′D.
Xét ∆A’ED, vì I là giao điểm của hai đường cao nên I là trực tâm của tam giác trên.
Suy ra A′I⊥ED
⇒AI⊥BC′ hay I∈AH
Vậy AH, DM, EN đồng quy tại I.
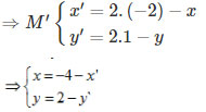
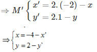
Bài 1.50 trang 41 Sách bài tập (SBT) Hình học 11
Cho hai đường tròn có cùng bán kính R cắt nhau tại hai điểm M, N. Đường trung trực của MN cắt hai đường tròn tại hai điểm A, B và nằm cùng phía đối với MN. Chứng minh rằng MN2+AB2=4R2.
Giải:

![]()
M↦E
BA→=ME→=O2O1→
∆NME vuông tại M (vì ME∥AB và AB⊥MN), do đó NE là đường kính. Từ đó ta có:
NE2=NM2+ME2
⇔(2R)2=MN2+AB2
⇔MN2+AB2=4R2
Bài 1.51 trang 41 Sách bài tập (SBT) Hình học 11
Cho đường tròn (O, R) , gọi BC là dây cung cố định của đường tròn và A là một điểm di động trên đường tròn. Tìm tập hợp trực tâm H của tam giác ABC.
Giải:

Vẽ đường kính BB1. Vì AB1∥HC và AH∥B1C nên AHCB1 là hình bình hành, suy ra: AH→=B1C→. B, C cố định nên B1C→ không đổi.
Như vậy H=TB1C→(A). Suy ra tập hợp các điểm H là đường tròn C′(O′;R), chính là ảnh của đường tròn C(O;R) qua phép tịnh tiến TB1C→.
+ Xác định tâm của (C’):
Ta có:
O′=TB1C→(O),OO′→=B1C→=2OI→
(I là trung điểm của BC). Vậy O’ đối xứng với O qua BC
Bài 1.52 trang 41 Sách bài tập (SBT) Hình học 11
Cho tam giác đều ABC và điểm P nằm trong tam giác, sao cho PC = 3, PA = 4 và PB = 5. Tìm chu vi của tam giác ABC.
Giải:

Xét phép quay Q(C,600):ΔCBP↦ΔCAQ
Ta có:

⇒APQ^=900
APC^=APQ^+QPC^=900+600=1500
Áp dụng định lí hàm số côsin trong tam giác APC ta tính được chu vi tam giác ABC là: p=3AC=3![]()
-----------------------------------
Trên đây VnDoc.com đã giới thiệu tới bạn đọc tài liệu: Giải SBT Toán 11 đề toán tổng hợp chương 1: Phép dời hình và phép đồng dạng trong mặt phẳng. Để có kết quả cao hơn trong học tập, VnDoc xin giới thiệu tới các bạn học sinh tài liệu Sinh học lớp 11, Vật lý lớp 11, Hóa học lớp 11, Giải bài tập Toán 11 mà VnDoc tổng hợp và đăng tải.
- Giải SBT Toán 11 đề kiểm tra chương 1: Phép dời hình và phép đồng dạng trong mặt phẳng
- Bài 1: Đại cương về đường thẳng và mặt phẳng
- Giải SBT Toán 11 bài 1: Đại cương về đường thẳng và mặt phẳng
- Bài 2: Hai đường thẳng chéo nhau và hai đường thẳng song song
- Giải SBT Toán 11 bài 2: Hai đường thẳng chéo nhau và hai đường thẳng song song
- Bài 3: Đường thẳng và mặt phẳng song song
- Giải SBT Toán 11 bài 3: Đường thẳng và mặt phẳng song song
- Bài 4: Hai mặt phẳng song song
- Giải SBT Toán 11 bài 4: Hai mặt phẳng song song
- Bài 5: Phép chiếu song song. Hình biểu diễn của một hình không gian
- Giải SBT Toán 11 bài 5: Phép chiếu song song. Hình biểu diễn của một hình không gian
- Ôn tập chương 2
- Giải SBT Toán 11 ôn tập chương 2: Đường thẳng và mặt phẳng trong không gian. Quan hệ song song
