Chuyên đề: Các trường hợp đồng dạng của tam giác
Chuyên đề Toán học lớp 8: Các trường hợp đồng dạng của tam giác được tuyển chọn và biên soạn nhằm cung cấp tài liệu tham khảo hữu ích cho học sinh và quý thầy cô trong quá trình dạy – học. Nội dung chuyên đề hệ thống hóa đầy đủ kiến thức về các trường hợp đồng dạng như cạnh – cạnh – cạnh, cạnh – góc – cạnh và góc – góc, kèm theo ví dụ minh họa cụ thể, dễ hiểu. Qua đó, học sinh có thể nắm vững điều kiện nhận biết hai tam giác đồng dạng và biết cách vận dụng vào giải bài tập hình học. Tài liệu góp phần củng cố tư duy logic, rèn luyện kỹ năng chứng minh và tính toán, giúp các em học Toán 8 hiệu quả và tự tin hơn.
Chuyên đề: Các trường hợp đồng dạng của tam giác
A. Lý thuyết
1. Trường hợp đồng dạng thứ nhất: Góc – Góc
a) Định nghĩa
Nếu hai góc của tam giác này lần lượt bằng hai góc của tam giác kia thì hai tam giác đó đồng dạng với nhau.

b) Ví dụ áp dụng
Ví dụ: Cho tam giác ABC và các đường cao BH, CK. Chứng minh Δ ABH ∼ Δ ACK.
Hướng dẫn:

Xét Δ ABH và Δ ACK có
⇒ Δ ABH ∼ Δ ACK (g - g)
2. Trường hợp đồng dạng thứ hai: Cạnh – Cạnh – Cạnh
a) Định nghĩa
Nếu ba cạnh của tam giác này tỉ lệ với ba cạnh của tam giác kia thì hai tam giác đó đồng dạng.

Tổng quát: Δ ABC,Δ A'B'C' có A'B'/AB = A'C'/AC = B'C'/BC ⇒ Δ ABC ∼ Δ A'B'C'
b) Ví dụ áp dụng
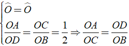
Ví dụ: Cho Δ ABC,Δ A'B'C' có độ dài các cạnh như hình vẽ. Chứng minh Δ ABC ∼ Δ A'B'C'
Hướng dẫn:

Xét Δ ABC,Δ A'B'C' có A'B'/AB = A'C'/AC = B'C'/BC = 2/4 = 2,5/5 = 3/6 = 1/2.
⇒ Δ ABC ∼ Δ A'B'C' (c - c - c)
3. Trường hợp đồng dạng thứ ba: Cạnh – Góc – Cạnh
a) Định nghĩa
Nếu hai cạnh của tam giác này tỉ lệ với hai cạnh của tam giác kia và hai góc tạo bởi các cặp cạnh đó bằng nhau thì hai tam giác đó đồng dạng

Tổng quát: Δ ABC,Δ A'B'C' có A'B'/AB = A'C'/AC và Aˆ = A'ˆ
⇒ Δ ABC ∼ Δ A'B'C' (c - g - c)
b) Ví dụ áp dụng
Ví dụ: Cho tam giác ABC có AB = 15 cm, AC = 20 cm. Trên hai cạnh AB, AC lần lượt lấy 2 điểm E, D sao cho AD = 8cm, AE = 6cm. Chứng minh Δ AED ∼ Δ ABC.
Hướng dẫn:

⇒ Δ AED ∼ Δ ABC (c - g - c)
B. Trắc nghiệm & Tự luận
I. Bài tập trắc nghiệm
Bài 1: Cho Δ ABC vuông góc tại A có BC = 5cm, AC = 3cm, EF = 3cm, DE = DF = 2,5cm. Chọn phát biểu đúng?
A. Δ ABC ∼ Δ DEF
B. ABCˆ = EFDˆ
C. ACBˆ = ADFˆ
D. ACBˆ = DEFˆ
Áp dụng định lý Py – ta – go vào tam giác ABC vuông tại A ta được
BC2 = AC2 + AB2 ⇒ AB = √ (BC2 - AC2) = √ (52 - 32) = 4( cm )
Ta có: cos ACBˆ = AC/BC = 3/5
Xét tam giác DEF có:

Khi đó ACBˆ = DEFˆ
Chọn đáp án B.
Bài 2: Cho hai tam giác Δ RSK và Δ PQM có: RS/PQ = RK/PM = SK/QM thì:
A. Δ RSK ∼ Δ PQM
B. Δ RSK ∼ Δ MPQ
C. Δ RSK ∼ Δ QPM
D. Δ RSK ∼ Δ QMP
Ta có: RS/PQ = RK/PM = SK/QM ⇒ Δ RSK ∼ Δ PQM
Chọn đáp án A.
Bài 3: Nếu Δ RSK ∼ Δ PQM có: RS/PQ = RK/PM = SK/QM thì
A. RSKˆ = PQMˆ
B. RSKˆ = PMQˆ
C. RSKˆ = MPQˆ
D. RSKˆ = QPMˆ
Ta có Δ RSK ∼ Δ PQM ⇔ 
Chọn đáp án A.
Bài 4: Chọn câu trả lời đúng?
A. Δ ABC, Δ DEF;AB/DE = AC/DF;Bˆ = Eˆ ⇒ Δ ABC ∼ Δ DEF
B. Δ ABC, Δ DEF;AB/DE = AC/DF;Cˆ = Fˆ ⇒ Δ ABC ∼ Δ DEF
C. Δ ABC, Δ DEF;AB/DE = AC/DF;Aˆ = Dˆ ⇒ Δ ABC ∼ Δ DEF
D. Δ ABC, Δ DEF;AB/DE = AC/DF;Aˆ = Eˆ ⇒ Δ ABC ∼ Δ DEF
Ta có:
Chọn đáp án C.
Bài 5: Cho hình bên, ABCD là hình thang ( AB//CD ) có AB = 12,5cm; CD = 28,5cm; DABˆ = DBCˆ. Tính độ dài đoạn BD gần nhất bằng bao nhiêu?

A. 17,5 B. 18 C. 18,5 D. 19
Xét Δ ABD và Δ BDC có:

⇒ AB/BD = AD/BC = BD/DC
hay 12,5/x = x/28,5 ⇒ x2 = 1425/4 ⇔ x ≈ 18,87
Chọn đáp án D.
II. Bài tập tự luận
Bài 1: Tứ giác ABCD có AB = 2cm; BC = 6cm; CD = 8cm; DA = 3cm và BD = 4cm. Chứng minh rằng:
a) Δ BAD ∼ Δ DBC
b) ABCD là hình thang

Hướng dẫn:
a) Ta có:
BA/BD = AD/BC = BD/CD = 1/2 ⇒ Δ BAD ∼ Δ DBC (c - c - c)
b) Ta có: Δ BAD ∼ Δ DBC
⇒ ABDˆ = BDCˆ nên AB//CD
⇒ ABCD là hình thang.
Bài 2: Cho hình vẽ như bên, biết EBAˆ = BDCˆ
a) Trong hình vẽ có bao nhiêu tam giác vuông? Kể tên các tam giác vuông đó.
b) Cho AE = 10cm, AB = 15cm, BC = 12cm. Hãy tính độ dài các đoạn thẳng CD, BE, BD và ED (làm tròn đến chữ số thập phân thứ nhất)
c) So sánh diện tích tam giác BDE với tổng diện tích hai tam giác AEB và BCD

Hướng dẫn:
a) Từ giả thiết và tính chất về góc của tam giác vuông BCD ta có:
⇒ Bˆ1 + Bˆ2 = 900 ⇒ EBDˆ = 900 , do ABCˆ là góc bẹt
Vậy trong hình vẽ có 3 tam giác vuông là ABE, BCD, EDB
b) Ta có:
⇒ Δ CDB ∼ Δ ABE ( g - g )
⇒ CD/AB = BC/AE
hay CD/15 = 10/12 ⇔ CD = (10.15)/12 ⇒ CD = 18 ( cm )
Áp dụng định lý Py – ta – go vào tam giác vuông ABE có:
BE2 = AE2 + AB2 ⇒ BE2 = 102 + 152 ⇒ BE ≈ 18,0( cm )
Áp dụng định lý Py – ta – go vào tam giác vuông BCD có:
BD2 = CD2 + BC2 ⇒ BD2 = 182 + 122 = 468 ⇒ BD ≈ 21,6( cm )
Áp dụng định lý Py – ta – go vào tam giác vuông EBD có:
ED2 = BD2 + BE2 ⇒ ED2 = 325 + 468 = 793 ⇒ ED ≈ 28,2( cm )
c) Ta có:

Vậy SBED > SAEB + SBCD
Bài 3: Trên một cạnh của một góc xOy ( Ox ≠ Oy ) đặt các đoạn thẳng OA = 5cm, OB = 16cm Trên cạnh thứ hai của góc đó đặt các đoạn thẳng OC = 8cm, OD = 10cm.
a) Chứng minh Δ OCB ∼ Δ OAD
b) Gọi I là giao điểm của các cạnh AD và BC. Chứng minh rằng Δ IAB và Δ ICD có các góc bằng nhau từng đôi một

Hướng dẫn:
a) Xét Δ OCB và Δ OAD có

⇒ Δ OCB ∼ Δ OAD (c - g - c)
b) Ta có: Δ OCB ∼ Δ OAD
⇒ ADOˆ = CBOˆ hay IDCˆ = IBAˆ
Mà CIDˆ = AIBˆ (vì đối đỉnh) ⇒ ICDˆ = IABˆ
Trên đây VnDoc đã giới thiệu tới các bạn lý thuyết môn Toán học 8: Các trường hợp đồng dạng của tam giác. Để có kết quả cao hơn trong học tập, VnDoc xin giới thiệu tới các bạn học sinh tài liệu Chuyên đề Toán học 8, Giải bài tập Toán lớp 8, Giải VBT Toán lớp 8 mà VnDoc tổng hợp và giới thiệu tới các bạn đọc