Phép cộng các phân thức đại số
Chuyên đề Toán học lớp 8: Phép cộng các phân thức đại số cung cấp hệ thống lý thuyết trọng tâm từ quy tắc cộng các phân thức cùng mẫu đến kỹ thuật quy đồng mẫu thức phức tạp, đi kèm với các dạng bài tập phân loại từ cơ bản đến nâng cao. Đây không chỉ là nguồn tham khảo hữu ích giúp học sinh củng cố tư duy toán học và rèn luyện tính chính xác trong tính toán, mà còn là tư liệu giảng dạy giá trị dành cho quý thầy cô trong việc bồi dưỡng học sinh khá giỏi. Mời các bạn cùng khám phá nội dung chi tiết để nâng cao hiệu quả học tập.
Chuyên đề: Phép cộng các phân thức đại số
A. Lý thuyết
1. Cộng hai phân thức cùng mẫu thức
Muốn cộng hai phân thức cùng mẫu thức ta cộng các tử thức với nhau, giữ nguyên mẫu thức.
Ta có thể viết như sau:
Ví dụ: Cộng hai phân thức
Hướng dẫn:

2. Cộng hai phân thức có mẫu thức khác nhau.
Muốn cộng hai phân thức có mẫu thức khác nhau, ta quy đồng mẫu thức rồi cộng các phân thức có cùng mẫu thức vừa tìm được.
Ta có thể viết như sau:
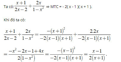
Ví dụ 1: Cộng hai phân thức![]()
Hướng dẫn:
Ta có: 2x - 2 = 2( x - 1 ); x2 - 1 = ( x - 1 )( x + 1 ) ⇒ MTC = 2( x - 1 )( x + 1 ).

Ví dụ 2: Cộng các phân thức 
Hướng dẫn:

B. Trắc nghiệm & Tự luận
I. Bài tập trắc nghiệm
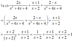
Bài 1: Kết quả của phép cộng
là?


Chọn đáp án B.
Bài 2: Kết quả của phép cộng
là?
A. 4/(xy2) B. 4/(xy3) C. 2/(x2y2) D. 2/(yx2)

Chọn đáp án A.
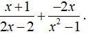
Bài 3: Rút gọn biểu thức
được kết quả là?
A. 3 B. -3 C. 3/(x - 5) D. (- 3)/(x - 5).

Chọn đáp án A.
Bài 4: Rút gọn biểu thức
được kết quả là?
A. 3 - x. B. x - 3 C. x + 3. D. - x - 3.
Chọn đáp án B.
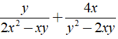
Bài 5: Rút gọn biểu thức
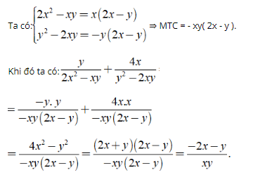
được kết quả là?
A. (2x + y)/(xy)
B. (2x - y)/(xy)
C. (- 2x - y)/(xy)
D. (y - 2x)/(xy)
Chọn đáp án C.
II. Bài tập tự luận
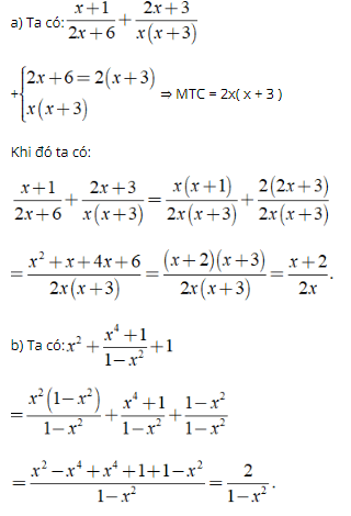
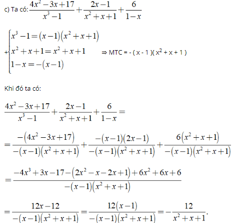
Bài 1: Thực hiện phép cộng các phân thức sau:

Hướng dẫn:


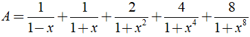
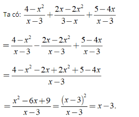
Bài 2: Rút gọn biểu thức

Hướng dẫn:
Ta có

Trên đây VnDoc đã giới thiệu tới các bạn lý thuyết môn Toán học 8: Phép cộng các phân thức đại số . Để có kết quả cao hơn trong học tập, VnDoc xin giới thiệu tới các bạn học sinh tài liệu Chuyên đề Toán học 8, Giải bài tập Toán lớp 8, Giải VBT Toán lớp 8 mà VnDoc tổng hợp và giới thiệu tới các bạn đọc