Đối xứng trục
Chuyên đề Toán học lớp 8: Đối xứng trục được VnDoc sưu tầm và giới thiệu tới các bạn học sinh cùng quý thầy cô tham khảo. Nội dung tài liệu sẽ giúp các bạn học sinh học tốt môn Toán học lớp 8 hiệu quả hơn. Mời các bạn tham khảo.
Chuyên đề: Đối xứng trục
A. Lý thuyết
1. Hai điểm đối xứng qua một đường thẳng
Hai điểm được gọi là đối xứng với nhau qua đường thẳng d nếu d là đường trung trực của đoạn thẳng nối hai điểm đó

Quy ước: Nếu điểm B nằm trên đường thẳng d thì điểm đối xứng của B qua đường thẳng d cũng chính là điểm B.
2. Hai hình đối xứng qua đường thẳng
Định nghĩa: Hai hình gọi là đối xứng với nhau qua đường thẳng d nếu mỗi điểm thuộc hình này đối xứng với một điểm thuộc hình kia qua đường thẳng d và ngược lại.
Đường thẳng d gọi là trục đối xứng của hai hình đó.

3. Hình có trục đối xứng
Đường thẳng d gọi là trục đối xứng của hình H nếu điểm đối xứng với mỗi điểm thuộc hình H qua đường thẳng d cũng thuộc hình H.
Ta nói rằng hình H có trục đối xứng.
Định lí: Đường thẳng đi qua trung điểm hai đáy của hình thang cân là trục đối xứng của hình thang đó.
B. Trắc nghiệm & Tự luận
I. Bài tập trắc nghiệm
Bài 1: Chọn phương án đúng nhất trong các phương án sau
A. Đường thẳng đi qua hai đáy của hình thang là trục đối xứng của hình thang đó.
B. Đương thẳng đi qua hai đáy của hình thang cân là trục đối xứng của hình thang cân.
C. Đường thẳng đi qua trung điểm hai đáy của hình thang cân là trục đối xứng của hình thang cân đó.
D. Cả A, B, C đều sai.
Định lí: Đường thẳng đi qua trung điểm hai đáy của hình thang cân là trục đối xứng của hình thang đó.
Chọn đáp án C.
Bài 2: Cho đoạn thẳng AB có độ dài là 3cm và đường thẳng d, đoạn thẳng A'B' đối xứng với AB qua d, khi đó độ dài của A'B' là?
A. 3cm B. 6cm C. 9cm D. 12cm
Tính chất: Nếu hai đoạn thẳng (góc, tam giác) đối xứng với nhau qua một đường thẳng thì chúng bằng nhau.
Khi đó AB = A'B' = 3cm
Chọn đáp án A.
Bài 3: Tam giác ABC đối xứng với tam giác A'B'C' qua đường thẳng d, biết chu vi của tam giác ABC là 48cm thì chu vi của tam giác A'B'C' là?
A. 24cm B. 32cm C. 40cm D. 48cm
Tính chất: Nếu hai đoạn thẳng (góc, tam giác) đối xứng với nhau qua một đường thẳng thì chúng bằng nhau.
Khi đó ta có: PABC = PA'B'C' = 48( cm )
Chọn đáp án D.
II. Bài tập tự luận
Bài 1: Cho tam giác ABC cân tại A, đường cao AH. Trên cạnh AB lấy điểm D, trên cạnh AC lấy điểm E sao cho AD = AE. Chứng minh rằng:
a) D đối xứng với E qua AH.
b) Δ ADC đối xứng với Δ AEB qua AH.
Hướng dẫn:

a) Vì Δ ABC cân tại A có AH là đường cao theo giả thiết nên AH cũng là đường phân giác của góc A.
Theo giả thiết ta có AD = AE nên Δ ADE cân tại A nên AH là đường trung trực của DE
⇒ D đối xứng với E qua AH.
b) Vì Δ ABC cân tại A có AH là đường cao theo giả thiết nên AH cũng là trung trực của BC.
⇒ B đối xứng với C qua AH, E đối xứng với D qua AH.
Mặt khác, ta có A đối xứng với A qua AH theo quy ước.
⇒ Δ ADC đối xứng với Δ AEB qua AH.
Bài 2: Cho Δ ABC có Aˆ = 500, điểm M thuộc cạnh BC. Vẽ điểm D đối xứng với M qua AB, vẽ điểm E đối xứng với M qua AC.
a) Chứng minh rằng AD = AE.
b) Tính số đo góc DAEˆ = ?
Hướng dẫn:

a) Theo giả thiết ta có:
+ D đối xứng với M qua AB.
+ E đối xứng với M qua AC.
+ A đối xứng với A qua AB, AC.
⇒ AD đối xứng với AM qua AB, AE đối xứng với AM qua AC.
Áp dụng tính chất đối xứng ta có:
⇒ AD = AE ⇒ (đpcm).
b) Theo ý câu a, ta có
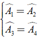
+ A1ˆ đối xứng A2ˆ qua AB
+ A3ˆ đối xứng A4ˆ qua AC.
Áp dụng tính chất đối xứng trục, ta có:
⇒ A1ˆ + A4ˆ = A2ˆ + A3ˆ = Aˆ = 500 ⇒ DAEˆ = 2Aˆ = 1000.
Vậy DAEˆ = 1000.
Trên đây VnDoc đã giới thiệu tới các bạn lý thuyết môn Toán học 8: Đối xứng trục. Để có kết quả cao hơn trong học tập, VnDoc xin giới thiệu tới các bạn học sinh tài liệu Chuyên đề Toán học 8, Giải bài tập Toán lớp 8, Giải VBT Toán lớp 8 mà VnDoc tổng hợp và giới thiệu tới các bạn đọc