Quy đồng mẫu thức nhiều phân thức
VnDoc xin giới thiệu Chuyên đề Toán học lớp 8: Quy đồng mẫu thức nhiều phân thức. Đây là tài liệu khá hay cho các bạn học sinh tham khảo, với chuyên đề Quy đồng mẫu thức nhiều phân thức dưới đây sẽ giúp các bạn học sinh nắm chắc kiến thức Toán lớp 8 từ đó vận dụng tốt để trả lời các câu hỏi liên quan quy đồng mẫu thức. Chúc các bạn học tốt mời các bạn tham khảo
Ngoài ra, VnDoc.com đã thành lập group chia sẻ tài liệu học tập THCS miễn phí trên Facebook: Tài liệu học tập lớp 8. Mời các bạn học sinh tham gia nhóm, để có thể nhận được những tài liệu mới nhất.
Chuyên đề: Quy đồng mẫu thức nhiều phân thức
A. Lý thuyết
1. Tìm mẫu thức chung
Khi quy đồng mẫu thức nhiều phân thức, muốn tìm mẫu thức chung ta có thể theo hướng như sau:
+ Phân tích mẫu thức của các phân thức đã cho thành nhân tử.
+ Mẫu thức chung cần tìm là một tích mà các nhân tử được chọn như sau:
Nhân tử bằng số của mẫu thức chung là tích các nhân tử bằng số ở các mẫu thức của các phân thức đã học. (Nếu các nhân tử bằng số ở các mẫu thức là những số nguyên dương thì nhân tử bằng số của mẫu thức chung là BCNN của chúng).
Với mỗi cơ số của luỹ thừa có mặt trong các mẫu thức ta chọn luỹ thừa với só mũ cao nhất.
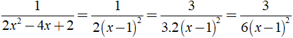
Ví dụ: Tìm mẫu thức chung của hai phân thức 1/(2x2 - 4x + 2) và 2/(3x - 3).
Hướng dẫn:
+ Phân tích các mẫu thức thành nhân tử:
2x2 - 4x + 2 = 2(x2 - 2x + 1) = 2(x - 1)2
3x - 3 = 3(x - 1)
+ Chọn mẫu thức chung là: 6(x - 1)2.
Xác định mẫu thức chung của số nguyên là BCNN(2,3) = 6.
Mẫu thức chung của lũy thừa (x - 1) là (x - 1)2.
2. Quy đồng mẫu thức
Muốn quy đồng mẫu thức nhiều phân thức ta có thể làm như sau:
+ Phân tích các mẫu thức thành nhân tử rồi tìm mẫu thức chung
+ Tìm nhân tử phụ của mỗi mẫu thức.
+ Nhân tử và mẫu của mỗi phânthức với nhân tử phụ tương ứng
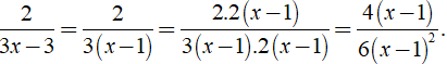
Ví dụ: Quy đồng mẫu thức của hai phân thức 1/(2x2 - 4x + 2) và 2/(3x - 3).
Hướng dẫn:
Ở ví dụ trên mục 1, ta xác định được mẫu thức chung là 6(x - 1)2.
+ Vì 6(x - 1)2 = 3.2(x2 - 2x + 1) = 3.(2x2 - 4x + 2) nên nhân tử tử và mẫu của phân thức thứ nhất với 3 ta được.

+ Vì 6(x - 1)2 = 2(x - 1).3(x - 1) nên nhân cả tử và mẫu của phân thức thứ hai với 2(x - 1) ta được:

Ở đây ta có:
3 là nhân tử phụ của mẫu thức 2x2 - 4x + 2.
2(x - 1) là nhân tử phụ của mẫu thức 3x - 3.
B. Trắc nghiệm & Tự luận
I. Bài tập trắc nghiệm
Bài 1: Hai phân thức 1/(4x2y) và 5/(6xy3z) có mẫu thức chung đơn giản nhất là?
A. 8x2y3z B. 12x3y3z C. 24x2y3z D. 12x2y3z
Ta có
⇒ Mẫu thức chung đơn giản nhất là: 12x2y3z
Chọn đáp án D.
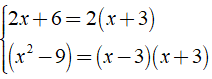
Bài 2: Hai phân thức 5/(2x + 6) và 3/(x2 - 9) có mẫu thức chung đơn giản nhất là?
A. x2 - 9. B. 2(x2 - 9). C. x2 + 9. D. x - 3
Ta có:
⇒ MTC = 2(x - 3)(x + 3) = 2(x2 - 9)
Chọn đáp án B.
Bài 3: Hai phân thức (x + 1)/(x2 + 2x - 3) và (- 2x)/(x2 + 7x + 10) có mẫu thức chung là?
A. x3 + 6x2 + 3x - 10
B. x3 - 6x2 + 3x - 10
C. x3 + 6x2 - 3x - 10
D. x3 + 6x2 + 3x + 10
Ta có:
⇒ MTC = (x + 3)(x + 4)(x - 1)
MTC = (x - 1)(x2 + 7x + 10) = x3 + 7x2 + 10x - x2 - 7x - 10
= x3 + 6x2 + 3x - 10.
Chọn đáp án A.
II. Bài tập tự luận
Bài 1: Quy đồng mẫu của các phân thức sau:
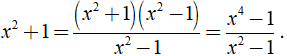
a, x2 + 1 và x4/(x2 - 1)
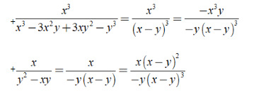
b, x3/(x3 - 3x2y + 3xy2 - y3) và x/(y2 - xy)
Hướng dẫn:
a) Coi x2 + 1 = (x2 + 1)/1
⇒ Mẫu thức chung là x2 - 1.
Khi đó ta có:
b) Ta có
+ x3 - 3x2y + 3xy2 - y3 = ( x - y )3
+ y2 - xy = y( y - x ) = - y( x - y )
⇒ Mẫu thức chung là - y( x - y )3.
Khi đó ta có:
+
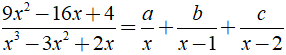
Bài 2: Xác định giá trị a, b, c để

Hướng dẫn:

Vậy giá trị của a, b, c cần tìm là a = 2; b = 3; c = 4.
Như vậy VnDoc đã chia sẻ tới các bạn bài Quy đồng mẫu thức nhiều phân thức. Hy vọng với tài liệu này sẽ giúp ích cho các bạn nắm chắc kiến thức Toán lớp 8, hoàn thành tốt bài tập mà giáo viên giao cho. Chúc các bạn học tốt và các bạn nhớ thường xuyên tương tác với VnDoc.com để nhận thêm nhiều tài liệu hay bổ ích nhé
-----------------------
Ngoài Quy đồng mẫu thức nhiều phân thức, mời các bạn học sinh còn có thể tham khảo các đề thi học kì 1 lớp 8, đề thi học kì 2 lớp 8 các môn Toán, Văn, Anh, Lý, Địa, Sinh...Chuyên đề Toán học 8, Giải bài tập Toán lớp 8, Giải VBT Toán lớp 8 mà chúng tôi đã sưu tầm và chọn lọc. Với đề thi học kì lớp 8 này giúp các bạn rèn luyện thêm kỹ năng giải đề và làm bài tốt hơn. Chúc các bạn ôn thi tốt