Biến đổi các biểu thức hữu tỉ - Giá trị của phân thức
Chuyên đề Toán học lớp 8: Biến đổi các biểu thức hữu tỉ - Giá trị của phân thức được VnDoc sưu tầm và giới thiệu tới các bạn học sinh cùng quý thầy cô tham khảo. Nội dung tài liệu sẽ giúp các bạn học sinh học tốt môn Toán học lớp 8 hiệu quả hơn. Mời các bạn tham khảo.
Chuyên đề: Biến đổi các biểu thức hữu tỉ - Giá trị của phân thức
A. Lý thuyết
1. Biểu thức hữu tỉ
+ Một đa thức được gọi là một biểu thức nguyên
+ Một biểu thức chỉ chứa các phép toán cộng, trừ, nhân , chia và chứa biến ở mẫu được gọi là biểu thức phân
Các biểu thức nguyên và biểu thức phân được gọi chung là biểu thức hữu tỉ.
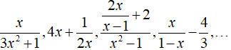
Ví dụ: Các biểu thức hữu tỉ như 
2. Biến đổi một biểu thức hữu tỉ thành một phân thức
Nhờ các quy tắc của phép toán cộng, trừ, nhân, chia các phân thức ta có thể biến đổi các biểu thức hữu tỉ thành một phân thức.
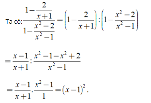
Ví dụ: Biến đổi biểu thức
thành một phân thức
Hướng dẫn:

3. Giá trị của phân thức
Các bài toán liên quan đến giá trị của phân thức
+ Trước tiên, tìm điều kiện của biến để giá trị tương ứng của mẫu thức khác 0.
+ Giá trị phân thức được xác định thì ta rút gọn tính toán phân thức.
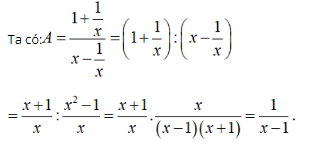
Ví dụ: Cho phân thức 
a) Tìm điều kiện để phân thức trên xác định.
b) Tính giá trị của phân thức tại
Hướng dẫn:
a) Điều kiện để phân thức xác định là ( x + 1 )( x - 2 ) ≠ 0 ⇒ x ≠ - 1; x ≠ 2.
b) Giá trị của phân thức tại x = 1
Ta có: 
B. Trắc nghiệm & Tự luận
I. Bài tập trắc nghiệm
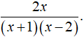
Bài 1: Biến đổi biểu thức
thành phân thức đại số là?

Chọn đáp án A.
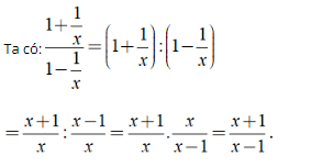
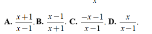
Bài 2: Biến đổi biểu thức
thành phân thức đại số là?
A. (x - 1)2 B. - (x - 1)2 C. (x + 1)2 D. - (x + 1)2

Chọn đáp án A.
Bài 3: Với giá trị nào của x thì phân thức
xác định?
A. x = 2. B. x ≠ 2. C. x > 2. D. x ≤ 2.
Giá trị của phân thức
xác định khi và chỉ khi 2x + 4 ≠ 0 ⇔ x ≠ - 2.
Chọn đáp án B.
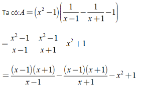
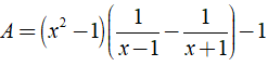
Bài 4: Giá trị của biểu thức
tại x=1 là?
A. A = 1. B. A = - 2. C. A = - 1. D. A = 2.

= x + 1 - x + 1 - x2 + 1 = 3 - x2.
Với x =1 ta có A = 3 - 12 = 2.
Chọn đáp án D.
II. Bài tập tự luận
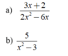
Bài 1: Tìm giá trị của x để giá trị của mỗi phân thức sau được xác định:

Hướng dẫn:
a) Giá trị của phân thức (3x + 2)/(2x2 - 6x) được xác định khi và chỉ khi 2x2 - 6x ≠ 0
⇔ 2x( x - 3 ) ≠ 0 hay x ≠ 0, x ≠ 3.
Vậy với x ≠ 0, x ≠ 3 thì giá trị của phân thức đã cho xác định.
b) Giá trị của phân thức 5/(x2 - 3) được xác định khi và chỉ khi x2 - 3 ≠ 0
hay x ≠ ± √3 .
Vậy với x ≠ ± √3 thì giá trị của phân thức đã cho xác định.
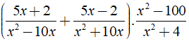
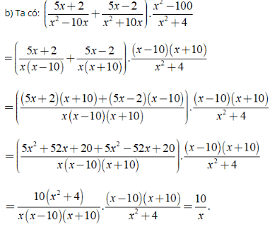
Bài 2: Cho biểu thức
a) Tìm điều kiện của x để giá trị của biểu thức được xác định.
b) Rút gọn biểu thức.
c) Tính giá trị của biểu thức tại x = 20040.
Hướng dẫn:
a) Giá trị của biểu thức xác định khi mỗi giá trị của phân thức trong biểu thức đều được xác định.
Khi đó điều kiện xác định: x2 - 10x ≠ 0, x2 + 10x ≠ 0, x2 + 4 ≠ 0
+ x2 - 10x ≠ 0 ⇔ x( x - 10 ) ≠ 0 khi x ≠ 0 và x - 10 ≠ 0 hay x ≠ 0,x ≠ 10.
+ x2 + 10x ≠ 0 ⇔ x( x + 10 ) ≠ 0 khi x ≠ 0 và x + 10 ≠ 0 hay x ≠ 0, x ≠ - 10.
+ x2 + 4 > 0 với mọi giá trị của x.
Vậy điều kiện xác định của biểu thức là x ≠ 0, x ≠ ± 10.

Vậy A = 10/x.
c) Với x = 20040, ta có: A = 10/20040 = 1/2004.
Vậy A = 1/2004 khi x = 20040.
Trên đây VnDoc đã giới thiệu tới các bạn lý thuyết môn Toán học 8: Biến đổi các biểu thức hữu tỉ - Giá trị của phân thức . Để có kết quả cao hơn trong học tập, VnDoc xin giới thiệu tới các bạn học sinh tài liệu Chuyên đề Toán học 8, Giải bài tập Toán lớp 8, Giải VBT Toán lớp 8 mà VnDoc tổng hợp và giới thiệu tới các bạn đọc