Phép trừ các phân thức đại số
Chuyên đề Toán học lớp 8: Phép trừ các phân thức đại số được VnDoc sưu tầm và giới thiệu tới các bạn học sinh cùng quý thầy cô tham khảo. Nội dung tài liệu sẽ giúp các bạn học sinh học tốt môn Toán học lớp 8 hiệu quả hơn. Mời các bạn tham khảo.
Chuyên đề: Phép trừ các phân thức đại số
A. Lý thuyết
1. Phân thức đối.
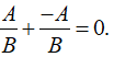
Hai phân thức được gọi là phân thức đối nếu tổng của chung bằng 0.
Tổng quát: 
+ Phân thức đối của phân thức
+ Phân thức đối của phân thức![]()
Ví dụ: Tìm phân thức đối của các phân thức sau: 
Hướng dẫn:
+ Phân thức đối của phân thức (x - 1)/(x + 2) là (1 - x)/(x + 2).
+ Phân thức đối của phân thức 1/(2x) là - 1/(2x).
+ Phân thức đối của phân thức (- 2x)/(x + 3) là (2x)/(x + 3).
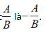
2. Phép trừ
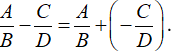
Muốn trừ phân thức A/B cho phân thức C/D, ta cộng phân thức A/B cho phân thức đối của phân thức C/D.
Ta có thể viết như sau:
Kết quả của phép trừ A/B cho C/D được gọi là hiệu của A/B và C/D.
Ví dụ: Trừ hai phân thức:
Hướng dẫn:

B. Trắc nghiệm & Tự luận
I. Bài tập trắc nghiệm
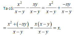
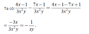
Bài 1: Rút gọn biểu thức
được kết quả là ?
A. 1/(xy) B. - 1/(xy) C. (x - 1)/(xy) D. (1 - x)/(xy)

Chọn đáp án B.
Bài 2: : Rút gọn biểu thức
được kết quả?
A. 1/2 B. - 1/2.
C. 1/(10x - 4) D. - 1/(10x - 4).

Chọn đáp án A.
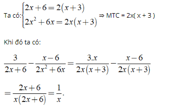
Bài 3: Thức hiện phép trừ phân thức
được kết quả là?
A. - 1/x. B. 1/(x + 3). C. 1/x D. - 1/(x + 3)

Chọn đáp án C.
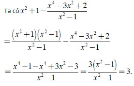
Bài 4: Thực hiện phép tính
được kết quả là?
A. 3/(x2 - 1) B. 3/(1 - x2) C. 3 D. -3

Chọn đáp án C.
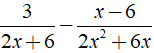
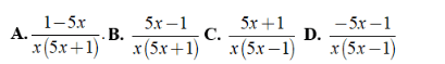
Bài 5: Rút gọn biểu thức
được kết quả là?

Chọn đáp án A.
II. Bài tập tự luận
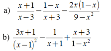
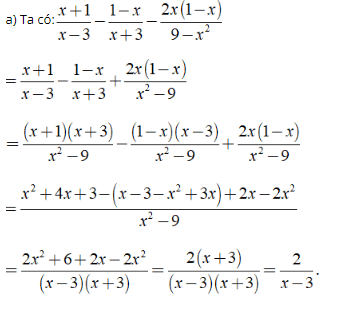
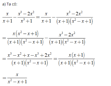
Bài 1: Thực hiện các phép tính sau:

Hướng dẫn:


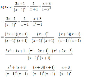
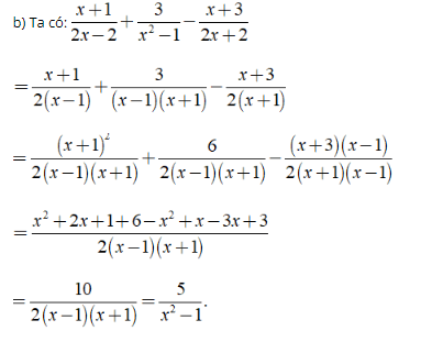
Bài 2: Thực hiện các phép tính sau:

Hướng dẫn:


Trên đây VnDoc đã giới thiệu tới các bạn lý thuyết môn Toán học 8: Phép trừ các phân thức đại số . Để có kết quả cao hơn trong học tập, VnDoc xin giới thiệu tới các bạn học sinh tài liệu Chuyên đề Toán học 8, Giải bài tập Toán lớp 8, Giải VBT Toán lớp 8 mà VnDoc tổng hợp và giới thiệu tới các bạn đọc