Tính chất cơ bản của phân thức
Chuyên đề Toán học lớp 8: Tính chất cơ bản của phân thức được VnDoc sưu tầm và giới thiệu tới các bạn học sinh cùng quý thầy cô tham khảo. Nội dung tài liệu sẽ giúp các bạn học sinh học tốt môn Toán học lớp 8 hiệu quả hơn. Mời các bạn tham khảo.
Chuyên đề: Tính chất cơ bản của phân thức
A. Lý thuyết
Định nghĩa: Một phân thức đại số (hay nói gọn là phân thức) là một biểu thức có dạng , trong đó A, B là những đa thức và B khác đa thức 0.
A được gọi là tử thức (hay tử), B được gọi là mẫu thức (hay mẫu).
1. Tính chất cơ bản của phân thức
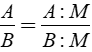
+ Nếu nhân cả tử và mẫu của một phân thức với cùng một đa thức khác đa thức không thì được một phân thức bằng phân thức đã cho.
(M là một đa thức khác đa thức 0)
+ Nếu chia cả tử và mẫu của một phân thức với cùng một đa thức khác đa thức không thì được một phân thức bằng phân thức đã cho.
(M là một đa thức khác đa thức 0)
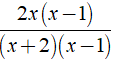
Ví dụ: Cho phân thức (2x)/(x + 2). Nhân cả tử và mẫu với đa thức (x - 1), so sánh phân thức nhận được với phân thức đã cho?
Hướng dẫn:
Ta có phân thức thức mới là 
Ta có
= (2x)/(x + 2) vì 2x(x - 1).(x + 2) = 2x.(x + 2)(x - 1).
2. Quy tắc đổi dấu
Nếu đổi dấu cả tử và mẫu của một phân thức thì nhận được phân thức mới bằng phân thức đã cho.
Ta có thể viết như sau: 
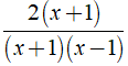
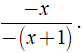
Ví dụ: Ta có phân thức
. Đổi dấu cả tử và mẫu ta được phân thức mới, so sánh phân thức mới với phân thức đã cho
Hướng dẫn:
Ta có phân thức mới nhận được là
.
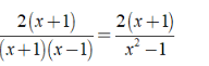
Ta có:
vì x. - ( x + 1 ) = - x.( x + 1 ).
B. Trắc nghiệm & Tự luận
I. Bài tập trắc nghiệm
Bài 1: Cho phân thức 2/(x - 1), nhân cả tử và mẫu với đa thức ( x + 1 ) ta được phân thức mới là?

Nhân cả tử và mẫu với đa thức ( x + 1 ) ta được phân thức mới là
Ta có
(áp dụng hằng đẳng thức A2 - B2 = ( A - B )( A + B ) )
Chọn đáp án C.
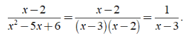
Bài 2: Với giá trị nào của x thì hai phân thức (x - 2)/(x2 - 5x + 6) và 1/(x - 3) bằng nhau?
A. x = 2 B. x = 3 C. x ≠ 2, x ≠ 3. D. x = 0.
+ Giá trị của phân thức (x - 2)/(x2 - 5x + 6) được xác định khi và chỉ khi x2 - 5x + 6 ≠ 0
⇔ ( x - 3 )( x - 2 ) ≠ 0 hay x ≠ 2,x ≠ 3.
+ Giá trị của phân thức 1/(x - 3) được xác định khi và chỉ khi x - 3 ≠ 0 hay x ≠ 3.
Với x ≠ 2,x ≠ 3 ta có:

Vậy với x ≠ 2,x ≠ 3 ta có: (x - 2)/(x2 - 5x + 6) = 1/(x - 3)
Chọn đáp án C.
Bài 3: Phân thức 2/(x + 3) bằng với phân thưc nào dưới đây?


Chọn đáp án C.
Bài 4: Điền vào chỗ trống đa thức sao cho![]()
A. x2 - 4x. B. x2 + 4x. C. x2 + 4. D. x2 - 4.
Gọi A là đa thức cần tìm thỏa mãn A( x - 4 ) = x( x2 - 16 )
Ta có: A( x - 4 ) = x( x - 4 )( x + 4 ) ⇒ A = x( x + 4 ) = x2 + 4x
Chọn đáp án B.
II. Bài tập tự luận
Bài 1: Hai phân thức sau có bằng nhau không?
a, (x2 - 2x)/(x2 - 4) và x/(x + 2).
b, (x + 1)/(x + 3) và (x2 + 3x + 2)/(x2 - x - 6)
Hướng dẫn:
a) Ta có: (x2 - 2x)(x + 2) = x(x - 2)(x + 2).
Mà x( x2 - 4) = x( x - 2 )(x + 2)
Vậy hai phân thức đó bằng nhau.
b) Ta có (x + 1)(x2 - x - 6) = (x + 1)(x - 3)(x + 2).
Nhưng (x + 3)(x2 + 3x + 2) = (x + 2)(x + 1)(x + 3)
Vậy hai phân thức đó không bằng nhau.
Bài 2: Chứng minh các đẳng thức sau:
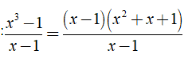
a, (x3 - 1)/(x - 1) = x2 + x + 1
b, (x5 - 1)/(x2 - 1) = (x4 + x3 + x2 + x + 1)/(x + 1)
Hướng dẫn:
a) Ta có:
= x2 + x + 1
⇒ (x3 - 1)/(x - 1) = x2 + x + 1 (đpcm).
b) Ta có: (x5 - 1 )(x + 1) = x6 + x5 - x - 1
Mặt khác, ta có: (x2 - 1)(x4 + x3 + x2 + x + 1) = (x6 + x5 + x4 + x3 + x2) - (x4 + x3 + x2 + x + 1)
= x6 + x5 - x - 1.
⇒ (x5 - 1)/(x2 - 1) = (x4 + x3 + x2 + x + 1)/(x + 1) (đpcm)
Trên đây VnDoc đã giới thiệu tới các bạn lý thuyết môn Toán học 8: Tính chất cơ bản của phân thức. Để có kết quả cao hơn trong học tập, VnDoc xin giới thiệu tới các bạn học sinh tài liệu Chuyên đề Toán học 8, Giải bài tập Toán lớp 8, Giải VBT Toán lớp 8 mà VnDoc tổng hợp và giới thiệu tới các bạn đọc