Phương trình chứa dấu giá trị tuyệt đối
Phương trình chứa dấu giá trị tuyệt đối là nội dung bài 5 chương 4 Đại số 8. Để giúp các em học sinh nắm vững phần này, VnDoc gửi tới các bạn Chuyên đề Toán học lớp 8: Phương trình chứa dấu giá trị tuyệt đối bao gồm lý thuyết cơ bản kèm bài tập trắc nghiệm và tự luận Toán 8, giúp các em củng cố kiến thức được học hiệu quả. Nội dung tài liệu sẽ giúp các bạn học sinh học tốt môn Toán học lớp 8 hơn. Mời các bạn tham khảo.
Chuyên đề: Phương trình chứa dấu giá trị tuyệt đối
A. Lý thuyết Phương trình chứa dấu giá trị tuyệt đối
1. Nhắc lại về giá trị tuyệt đối
Giá trị tuyệt đối của số a, được kí hiệu là | a |, ta định nghĩa như sau:

Ví dụ: Bỏ dấu giá trị tuyệt đối và rút gọn biểu thức sau:
a) A = | x - 1 | + 3 - x khi x ≥ 1.
b) B = 3x - 1 + | - 2x | khi x < 0.
Hướng dẫn:
a) Khi x ≥ 1 ta có x - 1 ≥ 0 nên | x - 1 | = x - 1
Do đó A = | x - 1 | + 3 - x = x - 1 + 3 - x = 2.
b) Khi x < 0 ta có - 2x > 0 nên | - 2x | = - 2x
Do đó B = 3x - 1 + | - 2x | = 3x - 1 - 2x = x - 1.
2. Giải một số phương trình chứa dấu giá trị tuyệt đối
a) Phương pháp chung
Bước 1: Áp dụng định nghĩa giá trị tuyệt đối để loại bỏ dấu giá trị tuyệt đối
Bước 2: Giải các bất phương trình không có dấu giá trị tuyệt đối
Bước 3: Chọn nghiệm thích hợp trong từng trường hợp đang xét
Bước 4: Kết luận nghiệm
b) Một số dạng cơ bản

Dạng | A | = | B | ⇔ A = B hay A = - B.
Dạng phương trình có chứa nhiều dấu giá trị tuyệt đối
+ Xét dấu các biểu thức chứa ẩn nằm trong dấu GTTĐ.
+ Chia trục số thành nhiều khoảng sao cho trong mỗi khoảng, các biểu thức nói trên có dấu xác định.
+ Xét từng khoảng, khử các dấu GTTĐ, rồi giải PT tương ứng trong trường hợp đó.
+ Kết hợp các trường hợp đã xét, suy ra số nghiệm của PT đã cho.
Ví dụ: Giải bất phương trình | 4x | = 3x + 1
Hướng dẫn:
Ta có | 4x | = 3x + 1
+ Với x ≥ 0 ta có | 4x | = 4x
Khi đó phương trình trở thành 4x = 3x + 1
⇔ 4x - 3x = 1 ⇔ x = 1.
Giá trị x = 1 thỏa mãn điều kiện x ≥ 0, nên 1 là một nghiệm của phương trình đã cho
+ Với x < 0 ta có | 4x | = - 4x
Khi đó phương trình trở thành - 4x = 3x + 1
⇔ - 4x - 3x = 1 ⇔ - 4x = 1 ⇔ x = - 1/7.
Giá trị x = - 1/7 thỏa mãn điều kiện x < 0, nên - 1/7 là một nghiệm cần tìm.
Vậy phương trình đã cho có tập nghiệm là S = { - 1/7;1 }
B. Giải bài tập Toán 8 bài 5 Phương trình chứa dấu giá trị tuyệt đối
- Giải bài tập SGK Toán lớp 8 bài 5: Phương trình chứa dấu giá trị tuyệt đối
- Giải bài tập SBT Toán 8 bài 5: Phương trình chứa dấu giá trị tuyệt đối
C. Trắc nghiệm & Tự luận Phương trình chứa dấu giá trị tuyệt đối
I. Bài tập trắc nghiệm
Bài 1: Biểu thức A = | 4x | + 2x - 1 với x < 0, rút gọn được kết quả là?
A. A = 6x - 1
B. A = 1 - 2x
C. A = - 1 - 2x
D. A = 1 - 6x
Ta có: x < 0 ⇒ | 4x | = - 4x
Khi đó ta có: A = | 4x | + 2x - 1 = - 4x + 2x - 1 = - 2x - 1
Chọn đáp án C.
Bài 2: Tập nghiệm của phương trình: | 3x + 1 | = 5
A. S = {- 2} B. S = {4/3} C. S = {- 2;4/3} D. S = {Ø}
Ta có: | 3x + 1 | = 5 ⇔ 
Vậy tập nghiệm của phương trình đã cho là S = {- 2;4/3}
Chọn đáp án C.
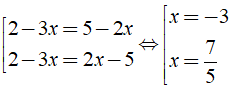
Bài 3: Tập nghiệm của phương trình | 2 - 3x | = | 2 - 5x | là?
A. S = {- 3;1} B. S = {- 3;7/5} C. S = {0;7/5} D. S = { - 3;1 }
Ta có: | 2 - 3x | = | 2 - 5x | ⇔ 
Vậy tập nghiệm của phương trình là S = {- 3;7/5}
Chọn đáp án B.
Bài 4: Giá trị m để phương trình | 3 + x | = m có nghiệm x = - 1 là?
A. m = 2 B. m = - 2 C. m = 1 D. m = - 1
Phương trình đã cho có nghiệm x = - 1 nên ta có: |3 + (- 1)| = m ⇔ m = 2.
Vậy m = - 2 là giá trị cần tìm.
Chọn đáp án B.
Bài 5: Giá trị của m để phương trình | x - m | = 2 có nghiệm là x = 1?
A. m ∈ {1} B. m ∈ {- 1;3} C. m ∈ {- 1;0} D. m ∈ {1;2}
Phương trình có nghiệm x = 1, khi đó ta có:
| 1 - m | = 2 ⇔ 
Vậy giá trị m cần tìm là m ∈ { - 1;3 }
Chọn đáp án B.
II. Bài tập tự luận
Bài 1: Bỏ dấu giá trị tuyệt đối và rút gọn các biểu thức sau:
a) A = 3x + 2 + | 5x | với x > 0.
b) A = | 4x | - 2x + 12 với x < 0.
c) A = | x - 4 | - x + 1 với x < 4
Hướng dẫn:
a) Với x > 0 ⇒ | 5x | = 5x
Khi đó ta có: A = 3x + 2 + | 5x | = 3x + 2 + 5x = 8x + 2
Vậy A = 8x + 2.
b) Ta có: x < 0 ⇒ | 4x | = - 4x
Khi đó ta có: A = | 4x | - 2x + 12 = - 4x - 2x + 12 = 12 - 6x
Vậy A = 12 - 6x.
c) Ta có: x < 4 ⇒ | x - 4 | = 4 - x
Khi đó ta có: A = | x - 4 | - x + 1 = 4 - x - x + 1 = 5 - 2x.
Vậy A = 5 - 2x
Bài 2: Giải các phương trình sau:
a) | 2x | = x - 6
b) | - 5x | - 16 = 3x
c) | 4x | = 2x + 12
d) | x + 3 | = 3x - 1
Hướng dẫn:
a) Ta có: | 2x | = x - 6
+ Với x ≥ 0, phương trình tương đương: 2x = x - 6 ⇔ x = - 6.
Không thỏa mãn điều kiện x ≥ 0.
+ Với x < 0, phương trình tương đương: - 2x = x - 6 ⇔ - 3x = - 6 ⇔ x = 2.
Không thỏa mãn điều kiện x < 0.
Vậy phương trình đã cho vô nghiệm.
b) Ta có: | - 5x | - 16 = 3x
+ Với x ≥ 0, phương trình tương đương: 5x - 16 = 3x ⇔ 2x = 16 ⇔ x = 8
Thỏa mãn điều kiện x ≥ 0
+ Với x < 0, phương trình tương đương: - 5x - 16 = 3x ⇔ 8x = - 16 ⇔ x = - 2
Thỏa mãn điều kiện x < 0
Vậy phương trình đã cho có tập nghiệm là S = { - 2;8 }
c) Ta có: | 4x | = 2x + 12
+ Với x ≥ 0, phương trình tương đương: 4x = 2x + 12 ⇔ 2x = 12 ⇔ x = 6
Thỏa mãn điều kiện x ≥ 0
+ Với x < 0, phương trình tương đương: - 4x = 2x + 12 ⇔ - 6x = 12 ⇔ x = - 2
Thỏa mãn điều kiện x < 0
Vậy phương trình đã cho có tập nghiệm là S = {- 2;6}
d) Ta có: | x + 3 | = 3x - 1
+ Với x ≥ - 3, phương trình tương đương: x + 3 = 3x + 1 ⇔ - 2x = - 2 ⇔ x = 1.
Thỏa mãn điều kiện x ≥ - 3
+ Với x < - 3, phương trình tương đương: - x - 3 = 3x + 1 ⇔ - 4x = 4 ⇔ x = - 1
Không thỏa mã điều kiện x < - 3
Vậy phương trình đã cho có tập nghiệm là S = {1}
Trên đây VnDoc đã giới thiệu tới các bạn lý thuyết môn Toán học 8: Phương trình chứa dấu giá trị tuyệt đối. Hy vọng đây là tài liệu hữu ích giúp các em nắm vững kiến thức được học về Phương trình chứa dấu giá trị tuyệt đối, từ đó vận dụng làm bài tập liên quan hiệu quả.
Để có kết quả cao hơn trong học tập, VnDoc xin giới thiệu tới các bạn học sinh tài liệu Chuyên đề Toán học 8, Giải bài tập Toán lớp 8 mà VnDoc tổng hợp và giới thiệu tới các bạn đọc.