Khái niệm hai tam giác đồng dạng
Chuyên đề Toán học lớp 8: Khái niệm hai tam giác đồng dạng được VnDoc sưu tầm và giới thiệu tới các bạn học sinh cùng quý thầy cô tham khảo. Nội dung tài liệu sẽ giúp các bạn học sinh học tốt môn Toán học lớp 8 hiệu quả hơn. Mời các bạn tham khảo.
Chuyên đề: Khái niệm hai tam giác đồng dạng
A. Lý thuyết
1. Tam giác đồng dạng
a) Định nghĩa
Hai tam giác được gọi là đồng dạng với nhau nếu chúng có các góc tương ứng bằng nhau và các cạnh tương ứng tỉ lệ.

Kí hiệu: Δ ABC ∼ Δ A'B'C'
Tỉ số cách cạnh tương ứng A'B'/AB = A'C'/AC = B'C'/BC = k được gọi là tỉ số đồng dạng
b) Tính chất
Hai tam giác A'B'C' và ABC đồng dạng có một số tính chất:
+ Δ ABC ∼ Δ A'B'C'
+ Nếu Δ ABC ∼ Δ A'B'C' thì Δ A'B'C' ∼ Δ ABC.
+ Nếu Δ A'B'C' ∼ Δ A''B''C'' và Δ A''B''C'' ∼ Δ ABC thì Δ ABC ∼ Δ A'B'C'
Ví dụ: Cho Δ ABC ∼ Δ A'B'C' như hình vẽ. Tính tỉ số đồng dạng ?

Hướng dẫn:
Ta có Δ ABC ∼ Δ A'B'C'. Khi đó tỉ số đồng dạng là
A'B'/AB = A'C'/AC = B'C'/BC = 2/4 = 2,5/5 = 3/6 = 1/2.
2. Định lý
Một đường thẳng cắt hai cạnh của tam giác và song song với cạnh còn lại tạo thành một tam giác đồng dạng với tam giác đã cho.

Tổng quát: Δ ABC,DE//BC ( D ∈ AB; E ∈ AC ).
Ta có: Δ ADE ∼ Δ ABC
Chú ý: Định lí cũng đúng cho trường hợp đường thẳng d cắt phần kéo dài của hai tam giác song song với cạnh còn lại.

B. Trắc nghiệm & Tự luận
I. Bài tập trắc nghiệm
Bài 1: Ta có Δ MNP ∼ Δ ABC thì
A. MN/AB = MP/AC
B. MN/AB = MP/BC
C. MN/AB = NP/AC
D. MN/BC = NP/AC
Ta có: Δ MNP ∼ Δ ABC ⇒ MN/AB = NP/BC = MP/AC
Chọn đáp án A.
Bài 2: Cho Δ ABC ∼ Δ A'B'C' có AB = 3A'B'. Kết quả nào sau đây sai?
A. Aˆ = A'ˆ; Bˆ = B'ˆ
B. A'C' = 1/3AC
C. AC/BC = A'C'/B'C' = 3
D. AB/A'B' = AC/A'C' = BC/B'C'
Ta có: Δ ABC ∼ Δ A'B'C' ⇒ 
Đáp án C sai.
Chọn đáp án C.
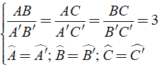
Bài 3: Cho Δ ABC ∼ Δ A'B'C' có AB/A'B' = 2/5. Biết hiệu số chu vi của Δ A'B'C' và Δ ABC là 30cm. Phát biểu nào sau đây đúng?
A. Chu vi của Δ ABC là 20cm, chu vi của Δ A'B'C' là 50cm.
B. Chu vi của Δ ABC là 50cm, chu vi của Δ A'B'C' là 20cm.
C. Chu vi của Δ ABC là 45cm, chu vi của Δ A'B'C' là 75cm.
D. Cả 3 đáp án đều sai.
Ta có: Δ ABC ∼ Δ A'B'C'

Mà PA'B'C' - PABC = 30cm.
Vậy chu vi của Δ ABC là 20cm, chu vi của Δ A'B'C' là 50cm.
Chọn đáp án A.
Bài 4: Cho Δ ABC có AB = 8cm,AC = 6cm,BC = 10cm. Tam giác A'B'C' đồng dạng với tam giác ABC có độ dài cạnh lớn nhất là 25 cm. Tính độ dài các cạnh còn lại của Δ A'B'C' ?
A. 4cm; 3cm B. 7,5cm; 10cm C. 4,5cm; 6cm D. 15cm; 20cm
Ta có: Δ ABC ∼ Δ A'B'C'

Chọn đáp án D.
Bài 5: Cho Δ ABC ∼ Δ DEF có tỉ số đồng dạng là k = 3/5, chu vi của Δ ABC bằng 12cm. Chu vi của Δ DEF là?
A. 7,2cm B. 20cm C. 3cm D. 17/3cm
Ta có: Δ ABC ∼ Δ DEF

Chọn đáp án B.
II. Bài tập tự luận
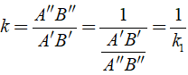
Bài 1: Cho Δ A'B'C' ∼ Δ A''B''C'' theo tỉ số đồng dạng k1, Δ A''B''C'' ∼ Δ ABC theo tỉ số đồng dạng là k2. Hỏi Δ A''B''C'' ∼ Δ A'B'C' và Δ A'B'C' ∼ Δ ABC đồng dạng theo tỉ số nào?
Hướng dẫn:
Gọi tỉ số đồng dạng của Δ A''B''C'' ∼ Δ A'B'C' là k
Ta có:
Điều đố chứng tỏ Δ A''B''C'' ∼ Δ A'B'C' theo tỉ số đồng dạng là k = 1/k1
Gọi tỉ số đồng dạng của Δ A'B'C' ∼ Δ ABC là k3
Thì k1 = A'B'/A''B'', k2 = A''B''/AB ⇒ k3 = A'B'/AB = A'B'/A''B''.A''B''/AB = k1.k2
Điều đó chứng tỏ Δ A'B'C' ∼ Δ ABC theo tỉ số đồng dạng là k3 = k1k2
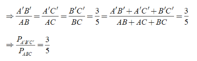
Bài 2: Cho tam giác Δ A'B'C' ∼ Δ ABC theo tỉ số đồng dạng là k = 3/5
a) Tính tỉ số chu vi của hai tam giác đã cho.
b) Cho biết hiệu chu vi của hai tam giác trên là 40dm. Tính chu vi của hai tam giác đã cho
Hướng dẫn:
a) Ta có: Δ A'B'C' ∼ Δ ABC

b) Theo giả thiết ta có: PABC - PA'B'C' = 40dm
Khi đó ta có: 
hay PA'B'C'/40 = 3/2 ⇒ PA'B'C' = 60( dm ); PABC = 20dm.
Trên đây VnDoc đã giới thiệu tới các bạn lý thuyết môn Toán học 8: Khái niệm hai tam giác đồng dạng. Để có kết quả cao hơn trong học tập, VnDoc xin giới thiệu tới các bạn học sinh tài liệu Chuyên đề Toán học 8, Giải bài tập Toán lớp 8, Giải VBT Toán lớp 8 mà VnDoc tổng hợp và giới thiệu tới các bạn đọc