Bất phương trình bậc nhất một ẩn
Chuyên đề Toán học lớp 8: Bất phương trình bậc nhất một ẩn được VnDoc sưu tầm và giới thiệu tới các bạn học sinh cùng quý thầy cô tham khảo. Nội dung tài liệu sẽ giúp các bạn học sinh học tốt môn Toán học lớp 8 hiệu quả hơn. Mời các bạn tham khảo.
Chuyên đề: Bất phương trình bậc nhất một ẩn
A. Lý thuyết
1. Định nghĩa
Bất phương trình dạng ax + b < 0 (hoặc ax + b > 0, ax + b < 0, ax + b ≤ 0, ax + b ≥ 0 ) trong đó a và b là hai số đã cho, a \ne 0 , được gọi là bất phương trình bậc nhất một ẩn.
Ví dụ:
Các bất phương trình bậc nhất một ẩn như: 2x + 3 > 0; 3 - x ≤ 0; x + 2 < 0; 4x + 7 ≥ 0; ...
2. Hai quy tắc biến đổi bất phương trình
a) Quy tắc chuyển vế
Khi chuyển một hạng tử của bất phương trình từ vế này sang vế kia ta đổi dấu hạng tử đó.
Ví dụ: Giải bất phương trình x - 3 < 4.
Hướng dẫn:
Ta có x - 3 < 4
⇔ x < 4 + 3 (chuyển vế - 3 và đổi dấu thành 3)
⇔ x < 7.
Vậy tập nghiệm của bất phương trình là { x| x < 7 }.
b) Quy tắc nhân với một số.
Khi nhân hai vế của bất phương trình với cùng một số khác 0, ta phải:
Giữ nguyên chiều bất phương trình nếu số đó dương.
Đổi chiều bất phương trình nếu số đó âm.
Ví dụ 1: Giải bất phương trình (x - 1)/3 ≥ 2.
Hướng dẫn:
Ta có: (x - 1)/3 ≥ 2
⇔ (x - 1)/3.3 ≥ 2.3 (nhân cả hai vế với 3)
⇔ x - 1 ≥ 6 ⇔ x ≥ 7.
Vậy tập nghiệm của bất phương trình là { x| x ≥ 7 }.
Ví dụ 2: Giải bất phương trình 1 - 2/3x ≤ - 1.
Hướng dẫn:
Ta có: 1 - 2/3x ≤ - 1 ⇔ - 2/3x ≤ - 2
⇔ - 2/3x.( - 3 ) ≥ ( - 2 )( - 3 ) (nhân cả hai vế với - 3 và đổi dấu)
⇔ 2x ≥ 6 ⇔ x ≥ 3.
Vậy bất phương trình có tập nghiệm là { x| x ≥ 3 }.
3. Giải bất phương trình một ẩn
Áp dụng hai quy tắc biến đổi trên, ta giải bất phương trình bậc nhất một ẩn như sau:
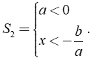
Dạng ax + b > 0 ⇔ ax > - b
⇔ x > - b/a nếu a > 0 hoặc x < - b/a nếu a < 0.
Vậy bất phương trình có tập nghiệm là

hoặc
Các dạng toán như ax + b < 0, ax + b ≤ 0, ax + b ≥ 0 tương tự như trên
Ví dụ 1: Giải bất phương trình 2x - 3 > 0
Hướng dẫn:
Ta có: 2x - 3 > 0
⇔ 2x > 3 (chuyển - 3 sang VP và đổi dấu)
⇔ 2x:2 > 3:2 (chia cả hai vế cho 2)
⇔ x > 3/2.
Vậy bất phương trình đã cho có tập nghiệm là { x| x > 3/2 }.
Ví dụ 2: Giải bất phương trình 2x - 1 ≤ 3x - 7
Hướng dẫn:
Ta có: 2x - 1 ≤ 3x - 7 ⇔ - 1 + 7 ≤ 3x - 2x
⇔ x ≥ 6.
Vậy bất phương trình đã cho có tập nghiệm là { x| x ≥ 6 }.
B. Trắc nghiệm & Tự luận
I. Bài tập trắc nghiệm
Bài 1: Bất phương trình ax + b > 0 vô nghiệm khi

Nếu a = 0 thì ax + b > 0 có dạng 0x + b > 0
Với b > 0 thì S = R.
Với b ≤ 0 thì S = Ø
Chọn đáp án D.
Bài 2: Tập nghiệm S của bất phương trình: 5x - 1 ≥ (2x)/5 + 3 là?
A. S = R
B. S = ( - ∞ ;2 )
C. S = ( - 5/2; + ∞ )
D. [ 20/23; + ∞ )
Ta có: 5x - 1 ≥ (2x)/5 + 3 ⇔ 25x - 5 ≥ 2x + 15 ⇔ 23x ≥ 20 ⇔ x ≥ 20/23.
Vậy tập nghiệm của bất phương trình là [ 20/23; + ∞ )
Chọn đáp án D.
Bài 3: Bất phương trình
có bao nhiêu nghiệm nguyên lớn hơn - 10?
A. 4 B. 5 C. 9 D. 10
Ta có:![]()
⇔ 9x + 15 - 6 ≤ 2x + 4 + 6 ⇔ x ≤ - 5.
Vì x ∈ Z, - 10 < x ≤ - 5 nên có 5 nghiệm nguyên.
Chọn đáp án B.
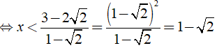
Bài 4: Tập nghiệm S của bất phương trình: (1 - √ 2)x < 3 - 2√ 2 là?
A. S = (- ∞ ;1 - √ 2)
B. S = (1 - √ 2 ; + ∞)
C. S = R
D. S = Ø
Ta có: (1 - √ 2)x < 3 - 2√ 2

Vậy tập nghiệm của bất phương trình là S = ( 1 - √ 2 ; + ∞ )
Chọn đáp án B.
Bài 5: Bất phương trình (2x - 1)(x + 3) - 3x + 1 ≤ (x - 1)(x + 3) + x2 - 5 có tập nghiệm là?
A. S = (- ∞ ; - 2/3)
B. S = [- 2/3; + ∞)
C. S = R
D. S = Ø
Ta có: (2x - 1)(x + 3) - 3x + 1 ≤ (x - 1)(x + 3) + x2 - 5
⇔ 2x2 + 5x - 3 - 3x + 1 ≤ x2 + 2x - 3 + x2 - 5 ⇔ 0x ≤ - 6
⇔ x ∈ Ø → S = Ø
Chọn đáp án D.
II. Bài tập tự luận
Bài 1: Tìm tập nghiệm của các bất phương trình sau:
a) (x + √ 3)2 ≥ (x - √ 3)2 + 2
b) x + √ x < (2√ x + 3)(√ x - 1)
c) (x - 3 )√ (x - 2) ≥ 2
Hướng dẫn:
a) Ta có: ( x + √ 3 )2 ≥ (x - √ 3)2 + 2
⇔ x2 + 2√ 3 x + 3 ≥ x2 - 2√ 3 x + 3 + 2
⇔ 4√ 3 x ≥ 2 ⇔ x ≥ √ 3 /6 → S = (√ 3 /6; + ∞)
Vậy bất phương trình đã cho có tập nghiệm là S = (√ 3 /6; + ∞)
b) Ta có: x + √ x < (2√ x + 3)(√ x - 1)
Điều kiện: x ≥ 0
⇔ x + √ x < 2x - 2√ x + 3√ x - 3
⇔ - x < - 3 ⇔ x > 3
Kết hợp điều kiện, tập nghiệm bất phương trình là: S = (3; + ∞)
Vậy bất phương trình đã cho có tập nghiệm là S = (3; + ∞)
c) Ta có: (x - 3)√ (x - 2) ≥ 2
Điều kiện: x ≥ 2
Bất phương trình tương đương là
Vậy tập nghiệm của bất phương trình là S = 2 ∪ [ 3; + ∞ )
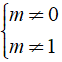
Bài 2: Có bao nhiêu giá trị thực của tham số m để bất phương trình ( m2 - m )x < m vô nghiệm là?
Hướng dẫn:
Rõ ràng nếu m2 - m ≠ 0 ⇔
thì bất phương trình luôn có nghiệm.
Với m = 0, bất phương trình trở thành 0x < 0: vô nghiệm.
Với m = 1, bất phương trình trở thành 0x < 1: luôn đúng với mọi x ∈ R
Vậy với m = 0 thì bất phương trình trên vô nghiệm.
Trên đây VnDoc đã giới thiệu tới các bạn lý thuyết môn Toán học 8: Bất phương trình bậc nhất một ẩn. Để có kết quả cao hơn trong học tập, VnDoc xin giới thiệu tới các bạn học sinh tài liệu Chuyên đề Toán học 8, Giải bài tập Toán lớp 8, Giải VBT Toán lớp 8 mà VnDoc tổng hợp và giới thiệu tới các bạn đọc