Chia đa thức một biến
Chuyên đề Toán học lớp 8: Chia đa thức một biến được VnDoc sưu tầm và giới thiệu tới các bạn học sinh cùng quý thầy cô tham khảo. Nội dung tài liệu sẽ giúp các bạn học sinh học tốt môn Toán học lớp 8 hiệu quả hơn. Mời các bạn tham khảo.
Chuyên đề: Chia đa thức một biến
A. Lý thuyết
1. Phương pháp
Ta trình bày phép chia tương tự như cách chia các số tự nhiên. Với hai đa thức A và B của một biến, B≠0 tồn tại duy nhất hai đa thức Q và R sao cho:
A = B.Q + R, với R=0 hoặc bậc của R nhỏ hơn bậc của B.
Nếu R=0, ta được phép chia hết.
Nếu R≠0, ta được phép chia có dư.
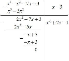
Ví dụ: Sắp xếp các đa thức theo lũy thừa giảm dần của biến rồi làm phép chia:
a, (x3 - 7x + 3 - x2):(x - 3).
b, (5x3 + 7 - 3x2):(x2 + 1).
Hướng dẫn:
a) Ta có:

Khi đó ta có: ( x3 - 7x + 3 - x2 ) = ( x - 3 ).( x2 + 2x - 1 )
b) Ta có

Khi đó ta có ( 5x3 + 7 - 3x2 ) = ( x2 + 1 )( 5x - 3 ) - 5x + 10.
B. Trắc nghiệm & Tự luận
I. Bài tập trắc nghiệm
Bài 1: Kết quả của phép chia (7x3 - 7x + 42):(x2 - 2x + 3) là?
A. - 7x + 14 B. 7x + 14 C. 7x - 14 D. - 7x - 14
Ta có phép chia

Chọn đáp án B.
Bài 2: Phép chia x3 + x2 - 4x + 7 cho x2 - 2x + 5 được đa thức dư là?
A. 3x - 7. B. - 3x - 8. C. - 15x + 7. D. - 3x - 7.
Ta có phép chia

Dựa vào kết quả của phép chia trên,, ta có đa thức dư là - 3x - 8.
Chọn đáp án B.
Bài 3: Hệ số a thỏa mãn để 4x2 - 6x + a chia hết có x - 3 là?
A. a = - 18. B. a = 8. C. a = 18. D. a = - 8.
Ta có phép chia

Phép chia trên có số dư là ( a + 18 )
Để 4x2 - 6x + a chia hết có x - 3 ⇔ a + 18 = 0 ⇔ a = - 18.
Chọn đáp án A.
II. Bài tập tự luận
Bài 1: Thực hiện các phép chia
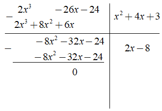
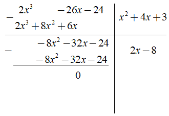
a, (2x3 - 26x - 24):(x2 + 4x + 3)
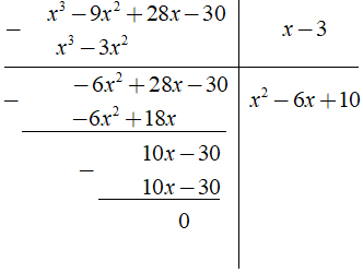
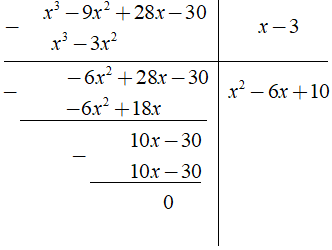
b, (x3 - 9x2 + 28x - 30):( x - 3)
Hướng dẫn:
a) Ta có phép chia

Vậy (2x3 - 26x - 24) = (x2 + 4x + 3)(2x - 8)
b) Ta có phép chia

Vậy (x3 - 9x2 + 28x - 30) = (x - 3)(x2 - 6x + 10)
Bài 2: Tính nhanh các phép chia sau:
a, (x6 + 2x3y2 + y4):(x3 + y2)
b, (625x4 - 1):[(5x + 1)(5x - 1)]
Hướng dẫn:
a) Ta có (x6 + 2x3y2 + y4):(x3 + y2) = (x3 + y2)2:(x3 + y2) = (x3 + y2)
Vậy (x6 + 2x3y2 + y4):(x3 + y2) = (x3 + y2)
b) Ta có (625x4 - 1):[(5x + 1)(5x - 1)] = [(25x2 - 1)(25x2 + 1)]:(25x2 - 1) = (25x2 + 1)
Vậy (625x4 - 1):[(5x + 1)(5x - 1)] = (25x2 + 1)
Bài 3: Tìm các số nguyên n để giá trị của biểu thức n3 + 6n2 -7n + 4 chia hết cho giá trị của biểu thức n - 2.
Hướng dẫn:
Ở đây, ta có thực hiện đặt phép chia như câu 1 để tìm số dư và tìm điều kiện giá trị của n để thỏa mãn đề bài. Nhưng bài này ta làm cách biến đội như sau:
Ta có n3 + 6n2 -7n + 4 = (n3 - 3n2.2 + 3.n.22 - 8) + 12n2 - 19n + 12
= (n - 2)3 + 12n(n - 2) + 5(n - 2) + 22
Khi đó ta có: (n3 + 6n2 - 7n + 4)/(n - 2) = (n - 2)2 + 12n + 5 + 22/(n - 2)
Để giá trị của biểu thức n3 + 6n2 -7n + 4 chia hết cho giá trị của biểu thức n - 2.
⇔ (n - 2) ∈ UCLN(22) = {± 1; ± 2; ± 11; ± 22}
⇒ n ∈ {- 20; - 9;0;1;3;4;13;24}
Vậy các giá trị nguyên của n cần tìm là n ∈ {- 20; - 9;0;1;3;4;13;24}
Trên đây VnDoc đã giới thiệu tới các bạn lý thuyết môn Toán học 8: Chia đa thức một biến. Để có kết quả cao hơn trong học tập, VnDoc xin giới thiệu tới các bạn học sinh tài liệu Chuyên đề Toán học 8, Giải bài tập Toán lớp 8, Giải VBT Toán lớp 8 mà VnDoc tổng hợp và giới thiệu tới các bạn đọc