Giải bài tập trang 31, 32 SGK Toán lớp 8 tập 1: Chia đa thức một biến đã sắp xếp
Giải bài tập Toán lớp 8 tập 1: Chia đa thức một biến đã sắp xếp
Giải bài tập trang 31, 32 SGK Toán lớp 8 tập 1: Chia đa thức một biến đã sắp xếp với lời giải chi tiết, rõ ràng theo khung chương trình sách giáo khoa Toán lớp 8. Lời giải bài tập Toán 8 này gồm các bài giải tương ứng với từng bài học trong sách giúp cho các em học sinh ôn tập và củng cố các dạng bài tập, rèn luyện kỹ năng giải môn Toán.
Giải bài tập SGK trang 26, 27 Toán 8 tập 1: Chia đơn thức cho đơn thức
Giải bài tập trang 28, 29 SGK Toán lớp 8 tập 1: Chia đa thức cho đơn thức
A. Tóm tắt kiến thức chia đa thức một biến đã sắp xếp
1. Phương pháp:
Ta trình bày phép chia tương tự như cách chia các số tự nhiên. Với hai đa thức A và B của một biến, B ≠ 0 tồn tại duy nhất hai đa thức Q và R sao cho:
A = B . Q + R, với R = 0 hoặc bậc bé hơn bậc của 1
Nếu R = 0, ta được phép chia hết.
Nếu R ≠ 0, ta được phép chia có dư.
B. Hướng dẫn giải bài tập SGK trang 31, 32 Toán Đại số 8 tập 1:
Bài 1 (trang 31 SGK Toán 8 tập 1)
Sắp xếp các đa thức theo lũy thừa giảm dần của biến rồi làm phép chia:
a) (x3 – 7x + 3 – x2) : (x – 3);
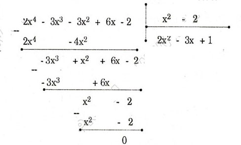
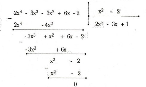
b) (2x4 – 3x2 – 3x2 – 2 + 6x) : (x2 – 2).
Đáp án và hướng dẫn giải bài:
a) (x3 – 7x + 3 – x2) : (x – 3)
Sắp xếp lại: (x3 – x2 – 7x + 3 ) : (x – 3)

b) (2x4 – 3x2 – 3x2 – 2 + 6x) : (x2 – 2)
Sắp xếp lại: (2x4 – 3x2 – 3x2 + 6x – 2) : (x2 – 2)

Bài 2 (trang 31 SGK Toán 8 tập 1)
Áp dụng hằng đẳng thức đáng nhớ để thực hiện phép chia:
a) (x2 + 2xy + y2) : (x + y);
b) (125x3 + 1) : (5x + 1);
c) (x2 – 2xy + y2) : (y – x).
Đáp án và hướng dẫn giải bài:
a) (x2 + 2xy + y2) : (x + y) = (x + y)2 : (x + y) = x + y.
b) (125x3 + 1) : (5x + 1) = [(5x)3 + 1] : (5x + 1)
= (5x)2 – 5x + 1 = 25x2 – 5x + 1.
c) (x2 – 2xy + y2) : (y – x) = (x – y)2 : [-(x – y)] = – (x – y) = y – x
Hoặc (x2 – 2xy + y2) : (y – x) = (y2 – 2xy + x2) : (y – x)
= (y – x)2 : (y – x) = y – x.
Bài 3 (trang 31 SGK Toán 8 tập 1)
Cho hai đa thức A = 3x4 + x3 + 6x – 5 và B = x2+ 1. Tìm dư R trong phép chia A cho B rồi viết A dưới dạng A = B.Q + R.
Đáp án và hướng dẫn giải bài:
Vậy 3x4 + x3 + 6x – 5 = (x2+ 1)(3x2 + x – 3) + 5x – 2

Luyện tập:
Bài 1 (trang 32 SGK Toán 8 tập 1)
Làm tính chia:
a) (25x5 – 5x4 + 10x2) : 5x2;
b) (15x3y2 – 6x2y – 3x2y2) : 6x2y.
Đáp án và hướng dẫn giải bài:
a) (25x5 – 5x4 + 10x2) : 5x2 = (25x5 : 5x2 ) – (5x4 : 5x2 ) + (10x2 : 5x2) = 5x3 – x2 + 2
b) (15x3y2 – 6x2y – 3x2y2) : 6x2y
= (15x3y2 : 6x2y) + (– 6x2y : 6x2y) + (– 3x2y2 : 6x2y)
= 15/6xy – 1 – 3/6y = 5/2xy – 1/2y – 1.
Bài 2 (trang 32 SGK Toán 8 tập 1)
Không thực hiện phép chia, hãy xét xem đa thức A có chia hết cho đa thức B hay không.
a) A = 15x4 – 8x3 + x2
B = 1/2x2
b) A = x2 – 2x + 1
B = 1 – x
Đáp án và hướng dẫn giải bài:
a) Ta có 15x4 ; 8x3 ; x2 chia hết cho 1/2x2 nên đa thức A chia hết cho B.
b) A chia hết cho B, vì x2 – 2x + 1 = (1 – x)2, chia hết cho 1 – x
Bài 3 (trang 32 SGK Toán 8 tập 1)
Làm tính chia:
(2x4 + x3 – 3x2 + 5x – 2) : (x2 – x + 1).
Đáp án và hướng dẫn giải bài
Khi đó :(2x4 + x3 – 3x2 + 5x – 2) = (x2 – x + 1)(2x3 + 3x – 2).

Bài 4 (trang 32 SGK Toán 8 tập 1)
Tính nhanh:
a) (4x2 – 9y2) : (2x – 3y); b) (27x3 – 1) : (3x – 1);
c) (8x3 + 1) : (4x2 – 2x + 1); d) (x2 – 3x + xy -3y) : (x + y)
Đáp án và hướng dẫn giải bài:
a) (4x2 – 9y2) : (2x – 3y) = [(2x)2 – (3y)2] : (2x – 3y) = (2x –3y)(2x +3y) : (2x –3y) = 2x + 3y;
b) (27x3 – 1) : (3x – 1) = [(3x)3 – 1] : (3x – 1) = (3x – 1) [(3x)2 + 3x + 1] : (3x – 1) = 9x2 + 3x + 1
c) (8x3 + 1) : (4x2 – 2x + 1) = [(2x)3 + 1] : (4x2 – 2x + 1)
= (2x + 1)[(2x)2 – 2x + 1] : (4x2 – 2x + 1)
= (2x + 1)(4x2 – 2x + 1) : (4x2 – 2x + 1) = 2x + 1
d) (x2 – 3x + xy -3y) : (x + y)
= [(x2 + xy) – (3x + 3y)] : (x + y)
= [x(x + y) – 3(x + y)] : (x + y)
= (x + y)(x – 3) : (x + y)
= x – 3.
Bài 5 (trang 32 SGK Toán 8 tập 1)
Tìm số a để đa thức 2x3 – 3x2 + x + a chia hết cho đa thức x + 2
Đáp án và hướng dẫn giải bài:

Khi đó 2x3 – 3x2 + x + a = (x + 2) (2x2 – 7x + 15) + a – 30 để đa thức 2x3 – 3x2 + x + a chia hết cho đa thức (x + 2) thì phần dư a – 30 = 0 hay a = 30.