Giải SBT Toán 9 kết nối tri thức trang 36 tập 2
Giải SBT Toán 9 Bài 24 trang 36 Kết nối tri thức Tập 2
Bài viết Giải SBT Toán 9 Kết nối tri thức trang 36 tập 2 cung cấp lời giải chi tiết các bài tập thuộc Bài 24: bảng tần số, tần số tương đối ghép nhóm và biểu đồ, giúp học sinh nắm vững cách lập bảng và biểu diễn số liệu chính xác. Nội dung trình bày rõ ràng, bám sát chương trình Toán 9 KNTT.
Giải bài 7.19 trang 36 sách bài tập Toán 9 KNTT Tập 2
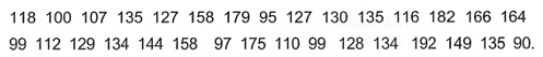
Một phòng khám đo và ghi lại huyết áp tâm thu (đơn vị tính là mmHg) của một số người đến khám bệnh thu được kết quả như sau:
![]()
Theo Hiệp hội Tim mạch Hoa Kỳ, người bình thường có huyết áp tâm thu từ 90 mmHg đến dưới 120 mmHg, người ở dạng tiền tăng huyết áp có huyết áp tâm thu từ 120 mmHg đến dưới 140 mmHg; người bị tăng huyết áp có huyết áp tâm thu lớn hơn hoặc bằng 140 mmHg.
Lập bảng tần số ghép nhóm và bảng tần số tương đối ghép nhóm cho dãy số liệu trên theo các mức bệnh huyết áp.
Lời giải:
Bảng tần số ghép nhóm của mẫu dữ liệu:
|
Mức huyết áp (mmHg) |
[90; 120) Bình thường |
[120; 140) Tiền tăng huyết áp |
140 trở lên Tăng huyết áp |
|
Tần số |
11 |
11 |
9 |
Cỡ mẫu n = 11 + 11 + 9 = 31.
Tần số tương đối của các nhóm dữ liệu:
Tỷ lệ số người có huyết áp từ 90 mmHg đến dưới 120 mmHg là: ![]()
Tỷ lệ số người có huyết áp từ 120 mmHg đến dưới 140 mmHg là: ![]()
Tỷ lệ số người có huyết áp 140 trở lên là: ![]()
Bảng tần số tương đối ghép nhóm của mẫu dữ liệu:
|
Mức huyết áp (mmHg) |
[90; 120) Bình thường |
[120; 140) Tiền tăng huyết áp |
140 trở lên Tăng huyết áp |
|
Tần số tương đối |
35,5% |
35,5% |
29% |
Giải bài 7.20 trang 36 sách bài tập Toán 9 KNTT Tập 2
Một công ty quản lý phần mềm ứng dụng trực tuyến đã thống kê tỉ lệ người dùng phần mềm này theo dung lượng bộ nhớ dành cho lưu trữ ảnh và biểu diễn dưới dạng biểu đồ tần số tương đối ghép nhóm dạng cột như sau:

a) Đọc và giải thích thông tin về một nhóm dữ liệu được biểu diễn trên biểu đồ.
b) Lập bảng tần số tương đối ghép nhóm cho dữ liệu được biểu diễn trên biểu đồ.
Lời giải:
a) Có 45% người dùng phần mềm ứng dụng có dung lượng bộ nhớ dùng để lưu trữ ảnh dưới 5 GB.
b) Bảng tần số tương đối ghép nhóm:
|
Dung lượng (GB) |
[0; 5) |
[5; 10) |
[10; 15) |
[15; 20) |
|
Tần số tương đối |
45% |
30% |
15% |
10% |
Giải bài 7.21 trang 36 sách bài tập Toán 9 KNTT Tập 2
Cho biểu đồ tần số tương đối ghép nhóm dạng đoạn thẳng sau:

a) Đọc và giải thích thông tin về hai nhóm dữ liệu được biểu diễn trên biểu đồ.
b) Lập bảng tần số tương đối ghép nhóm cho dữ liệu được biểu diễn trên biểu đồ.
c) Biết rằng công ty A có 300 người, lập bảng tần số ghép nhóm cho lương của công nhân công ty này.
Lời giải:
a) Có 6% số công nhân có mức lương từ 7 triệu đồng đến dưới 10 triệu đồng.
Có 10% số công nhân có mức lương từ 10 triệu đồng đến dưới 13 triệu đồng.
b) Bảng tần số tương đối ghép nhóm:
|
Mức lương (triệu đồng) |
[7; 10) |
[10; 13) |
[13; 16) |
[16; 19) |
[19; 22) |
[22; 25) |
|
Tần số tương đối |
6% |
10% |
24% |
30% |
16% |
14% |
c) Tần số tương ứng với các nhóm dữ liệu là:
Tỷ lệ số công nhân có mức lương từ 7 triệu đồng đến dưới 10 triệu đồng là:
300 . 6% = 18
Tỷ lệ số công nhân có mức lương từ 10 triệu đồng đến dưới 13 triệu đồng là:
300 . 10% = 30
Tỷ lệ số công nhân có mức lương từ 13 triệu đồng đến dưới 16 triệu đồng là:
300 . 24% = 72
Tỷ lệ số công nhân có mức lương từ 16 triệu đồng đến dưới 19 triệu đồng là:
300 . 30% = 90
Tỷ lệ số công nhân có mức lương từ 19 triệu đồng đến dưới 22 triệu đồng là:
300 . 16% = 48
Tỷ lệ số công nhân có mức lương từ 22 triệu đồng đến dưới 25 triệu đồng là:
300 . 14% = 42
Bảng tần số ghép nhóm:
|
Mức lương (triệu đồng) |
[7; 10) |
[10; 13) |
[13; 16) |
[16; 19) |
[19; 22) |
[22; 25) |
|
Tần số |
18 |
30 |
72 |
90 |
48 |
42 |
-----------------------------------------------
Thông qua lời giải Toán 9 KNTT Bài 24 trang 36, học sinh có thể củng cố kỹ năng xử lý dữ liệu và nâng cao khả năng vẽ biểu đồ. Hãy luyện tập thêm để thành thạo dạng bài thống kê này.