Độ dài đoạn thẳng
Chuyên đề Độ dài đoạn thẳng do VnDoc sưu tầm và tổng hợp tập trung làm rõ các kiến thức trọng tâm như cách đo độ dài, so sánh hai đoạn thẳng, và đặc biệt là điều kiện để một điểm nằm giữa hai điểm còn lại.
Với hệ thống bài tập được phân loại từ nhận biết đến vận dụng cao, tài liệu hỗ trợ các em rèn luyện kỹ năng vẽ hình chính xác và tư duy giải toán logic. Đây là công cụ đắc lực giúp quý thầy cô đa dạng hóa bài giảng và giúp các em học sinh tự tin chinh phục các kỳ thi. Mời các bạn cùng tham khảo để nâng cao hiệu quả học tập môn Toán!
Chuyên đề: Độ dài đoạn thẳng
A. Lý thuyết
1. Độ dài đoạn thẳng
Mỗi đoạn thẳng có một độ dài. Độ dài là một số dương. Độ dài đoạn thẳng AB cũng còn gọi là khoảng cách giữa hai điểm A và B.
Khi hai điểm A và B trùng nhau, ta nói khoảng cách giữa hai điểm A và B bằng 0.
2. So sánh hai đoạn thẳng
• Hai đoạn thẳng bằng nhau nếu có cùng độ dài.
• Đoạn thẳng lớn hơn có độ dài lớn hơn.
Ví dụ: So sánh các đoạn thẳng AB = 3cm, CD = 3cm, EG = 4cm. Ta nói:
• Hai đoạn thẳng AB và CD bằng nhau hay có cùng độ dài và kí hiệu AB = CD.
![]()
• Đoạn thẳng EG dài hơn (lớn hơn) đoạn thẳng CD và kí hiệu EG > CD.
• Đoạn thẳng AB ngắn hơn (nhỏ hơn) đoạn thẳng EG và kí hiệu AB < EG.
B. Trắc nghiệm & Tự luận
I. Câu hỏi trắc nghiệm
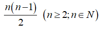
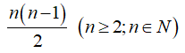
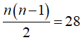
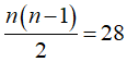
Câu 1: Cho n điểm phân biệt (n ≥ 2; n ∈ N) trong đó không có ba điểm nào thẳng hàng. Vẽ các đoạn thẳng nối hai trong n điểm đó. Có tất cả 28 đoạn thẳng. Hãy tìm n.
A. n = 9 B. n = 7 C. n = 8 D. n = 6
Số đoạn thẳng tạo thành từ n điểm phân biệt trong đó không có ba điểm nào thẳng hàng là:

Theo đề bài có 28 đoạn thẳng được tạo thành nên ta có:
⇒ n(n - 1) = 56 = 8.7
Nhận thấy (n - 1) và n là hai số tự nhiên liên tiếp, suy ra n = 8.
Chọn đáp án C.
Câu 2: Đường thẳng xx' cắt bao nhiêu đoạn thẳng trên hình vẽ sau:

A. 3 B. 4 C. 5 D. 6
Đường thẳng xx' cắt năm đoạn thẳng: OA; OB; AB; MA; MB
Chọn đáp án C.
Câu 3: Cho các đoạn thẳng AB = 4cm; MN = 5cm; EF = 3cm; PQ = 4cm; IK = 5cm. Chọn đáp án sai.
A. AB < MN B. EF < IK C. AB = PQ D. AB = EF
• AB < MN (4cm < 5cm) nên A đúng.
• EF < IK (3cm < 5cm) nên B đúng.
• AB = PQ (4cm = 4cm) nên C đúng.
• AB > EF (4cm > 3cm) nên D sai.
Chọn đáp án D.
II. Bài tập tự luận
Câu 1: Biết AB = 5(cm) và CD = 3(cm), EF = 4(cm) và GH = 3(cm)
Chọn từ, cụm từ hoặc kí hiệu: Lớn hơn, nhỏ hơn, bằng nhau, có cùng độ dài, <; =; > điền vào chỗ trống
a) AB ... CD hay CD ... AB hoặc AB ... CD hoặc CD ... AB
b) CD và GH ... hoặc CD và GH ... hoặc CD ... GH
a) AB lớn hơn CD hay CD nhỏ hơn AB hoặc AB > CD hoặc CD < AB
b) CD và GH bằng nhau hoặc CD và GH có cùng độ dài hoặc CD = GH
Câu 2: Chọn một trong các kí hiệu < hoặc = hoặc > điền vào chỗ trống

AB ... AD AB ... CD AB ... AC AB ... AO
AC ... BD OA ... OB
Ta có:
AB = AD AB = CD AB < AC AB > AO
AC = BD OA = OB
Trên đây VnDoc đã giới thiệu tới các bạn lý thuyết môn Toán học 6: Độ dài đoạn thẳng. Để có kết quả cao hơn trong học tập, VnDoc xin giới thiệu tới các bạn học sinh tài liệu Chuyên đề Toán học 6, Giải bài tập Toán lớp 6, Giải SBT Toán 6, Giải VBT Toán lớp 6 mà VnDoc tổng hợp và giới thiệu tới các bạn đọc