Phép nhân phân số
Chuyên đề Toán học lớp 6: Phép nhân phân số do VnDoc biên soạn và giới thiệu nhằm hỗ trợ học sinh và giáo viên trong quá trình dạy và học. Tài liệu trình bày chi tiết cách thực hiện phép nhân phân số, các ví dụ minh họa và hướng dẫn giải bài tập, giúp học sinh hiểu rõ lý thuyết và vận dụng vào thực hành. Qua việc tham khảo, các em có thể củng cố kiến thức, rèn luyện kỹ năng giải toán chính xác và nắm vững các dạng bài tập liên quan. Đây là nguồn tài liệu hữu ích giúp học tốt môn Toán lớp 6.
Chuyên đề: Phép nhân phân số
A. Lý thuyết
1. Quy tắc
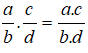
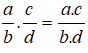
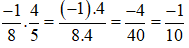
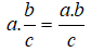
+ Muốn nhân hai phân số, ta nhân các tử với nhau và nhân các mẫu với nhau

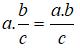
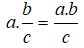
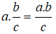
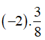
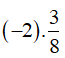
+ Muốn nhân một số nguyên với một phân số (hoặc một phân số với một số nguyên), ta nhân số nguyên với tử của phân số và giữ nguyên mẫu
![]()
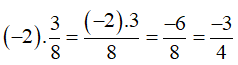
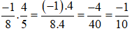
Ví dụ:
![]()
2. Nhận xét:
+ Muốn nhân một số nguyên với một phân số (hoặc một phân số với một số nguyên), ta nhân số nguyên với tử của phân số và giữ nguyên mẫu
![]()
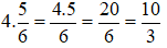
Ví dụ:
![]()
B. Trắc nghiệm & Tự luận
I. Câu hỏi trắc nghiệm
Câu 1: Tính 
A. 1/16 B. -2 C. -15/32 D. -5/32
Ta có:
Chọn đáp án C
Câu 2: Tính 
A. -2/27 B. -4/9 C. -1/18 D. -3/2

Chọn đáp án A
Câu 3: Kết quả phép tính
là
A. -16/8 B. -13/8 C. -6/16 D. -(3/4)
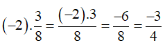
Ta có: 
Chọn đáp án D
Câu 4: Chọn câu đúng


Chọn đáp án C
Câu 5: Chọn câu sai


Chọn đáp án D
II. Bài tập tự luận
Câu 1: Tính


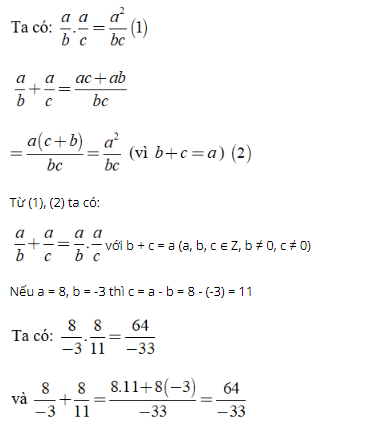
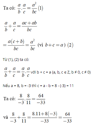
Câu 2: Cho phân số a/b và phân số a/c có b + c = a (a, b, c ∈ Z, b ≠ 0, c ≠ 0). Chứng tỏ rằng tích của hai phân số này bằng tổng của chúng. Thử lại với a = 8, b = -3

Trên đây VnDoc đã giới thiệu tới các bạn lý thuyết môn Toán học 6: Phép nhân phân số. Để có kết quả cao hơn trong học tập, VnDoc xin giới thiệu tới các bạn học sinh tài liệu Chuyên đề Toán học 6, Giải bài tập Toán lớp 6, Giải SBT Toán 6, Giải VBT Toán lớp 6 mà VnDoc tổng hợp và giới thiệu tới các bạn đọc