Hỗn số - Số thập phân - Phần trăm
Chuyên đề Toán học lớp 6: Hỗn số - Số thập phân - Phần trăm được VnDoc sưu tầm và giới thiệu tới các bạn học sinh cùng quý thầy cô tham khảo. Nội dung tài liệu sẽ giúp các bạn học sinh học tốt môn Toán học lớp 6 hiệu quả hơn. Mời các bạn tham khảo.
Chuyên đề: Hỗn số - Số thập phân - Phần trăm
A. Lý thuyết
1. Hỗn số
+ Nếu phân số dương lớn hơn 1, ta có thể viết nó dưới dạng hỗn số bằng cách: chia tử cho mẫu, thương tìm được là nguyên của hỗn số, số tư là tử của phân số kèm theo, còn mẫu vẫn là mẫu đã cho
Ví dụ: ![]()
+ Muốn viết một hỗn số dưới dạng một phân số, ta nhân phần nguyên với mẫu rồi cộng với tử, kết quả tìm được là tử số của phân số, còn mẫu vẫn là mẫu đã cho
Ví dụ: ![]()
Chú ý:
Đối với các hỗn số có dấu “-“ đằng trước thì ta chỉ cần đổi hỗn số dương theo quy tắc thong thường rôi viết thêm dấu “-“ đằng trước phân số tìm được , tuyệt đối không lấy phần số nguyên âm nhân với mẫu rồi cộng tử số
Ví dụ: ![]()
+ Khi viết một phân số âm dưới dạng hỗn số, ta chỉ cần viêt số đối của nó dưới dạng hỗn số rồi đặt dấu “-“ trước kết quả nhận được
2. Số thập phân
Phân số thập phân là phân số mà mẫu là lũy thừa của 10
Ví dụ: ![]()
+ Số thập phân gồm hai phần:
• Phần số nguyên viết bên trái dấu phẩy
• Phần thập phân viết bên phải dấu phẩy
Ví dụ: ![]()
3. Phần trăm
Những phân số có mẫu là 100 còn được viết dưới dạng phần tram với kí hiệu %
Ví dụ: ![]()
B. Trắc nghiệm & Tự luận
I. Câu hỏi trắc nghiệm
Câu 1: Viết phân số 4/3 dưới dạng hỗn số ta được

Ta có 4:3 bằng 1 (dư 1) nên
Chọn đáp án D
Câu 2: Hỗn số
được viết dưới dạng phân số là

Ta có:
Chọn đáp án B
Câu 3: Viết phân số 131/1000 dưới dạng số thập phân ta được
A. 0,131 B. 0,1331 C. 1,31 D. 0,0131
Ta có: 131/1000 = 0,131
Chọn đáp án A
Câu 4: Viết số thập phân 0,25 về dạng phân số ta được
A. 1/4 B. 5/2 C. 2/5 D. 1/5
Ta có: 0,25 = 25/100
0,25 = 25/100 = 1/4
Chọn đáp án A
Câu 5: Phân số 47/100 được viết dưới dạng phần trăm là:
A. 4,7% B. 47% C. 0,47% D. 470%
Ta có: 47/100 = 47%
Chọn đáp án B
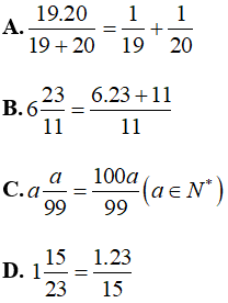
Câu 6: Chọn câu đúng


Chọn đáp án C
II. Bài tập tự luận
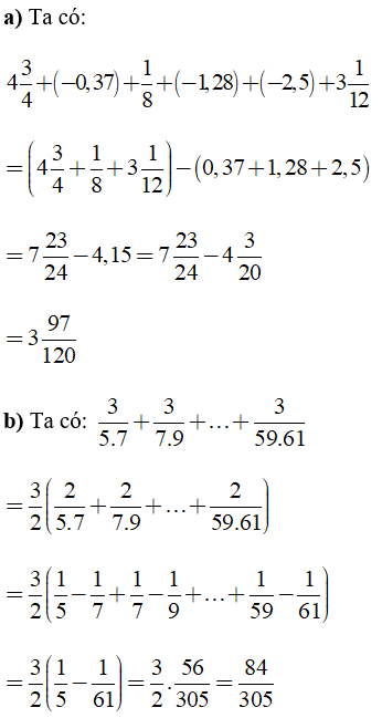
Câu 1: So sánh


Câu 2: Tính


Trên đây VnDoc đã giới thiệu tới các bạn lý thuyết môn Toán học 6: Hỗn số - Số thập phân - Phần trăm. Để có kết quả cao hơn trong học tập, VnDoc xin giới thiệu tới các bạn học sinh tài liệu Chuyên đề Toán học 6, Giải bài tập Toán lớp 6, Giải SBT Toán 6, Giải VBT Toán lớp 6 mà VnDoc tổng hợp và giới thiệu tới các bạn đọc