Tính chất cơ bản của phân số
Chuyên đề Toán học lớp 6: Tính chất cơ bản của phân số được VnDoc sưu tầm và giới thiệu tới các bạn học sinh cùng quý thầy cô tham khảo. Nội dung tài liệu sẽ giúp các bạn học sinh học tốt môn Toán học lớp 6 hiệu quả hơn. Mời các bạn tham khảo.
Chuyên đề: Tính chất cơ bản của phân số
A. Lý thuyết
1. Tính chất cơ bản của phân số
+ Nếu ta nhân cả tử và mẫu cảu một phân số với cùng một sô nguyên khác 0 thì ta được một phân số mới bằng phân số đã cho
![]()
+ Nếu ta chia cả tử và mẫu của một phân số cho cùng một ước chung của chúng ta được một phân sô mới bằng phân số đã cho
![]()
Ví dụ: ![]()
2. Ví dụ
Ta có: ![]()
B. Trắc nghiệm & Tự luận
I. Câu hỏi trắc nghiệm
Câu 1: Chọn câu sai. Với a; b; m ∈ Z; b; m ≠ 0 thì


⇒ Đáp án B sai
Chọn đáp án B
Câu 2: Phân số a/b là phân số tối giản khi ƯC(a; b) bằng
A. {1; -1} B. {2} C. {1; 2} D. {1; 2; 3}
Phân số tối giản ( hay phân sô không rút gọn được nữa ) là phân số mà cả tử và mẫu chỉ có ước chung là 1 và -1
Chọn đáp án A
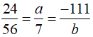
Câu 3: TÌm số a; b biết 
A. a = 3, b = -259 B. a = -3, b = -259
C. a = 3, b = 259 D. a = -3, b = 259
Ta có:

Vậy a = 3, b = -259
Chọn đáp án A
Câu 4: Phân số nào dưới đây là phân số tối giản?
A. -2/4 B. -15/-96 C. 13/27 D. -29/58
Đáp án A: ƯCLN(2; 4) = 2 ≠ 1 nên loại
Đáp án B: ƯCLN(15; 96) = 3 ≠ 1 nên loại
Đáp án C: ƯCLN(13; 27) = 1 ≠ 1 nên C đúng
Đáp án D: ƯCLN(29; 58) = 29 ≠ 1 nên D loại
Chọn đáp án C
Câu 5: Nhân cả tử số và mẫu số của phân số 14/23 với số nào để được phân số 168/276
A. 14 B. 23 C. 12 D. 22
Ta có: 168:14 = 12 và 276:23 = 12 nên số cần tìm là 12
Chọn đáp án C
II. Bài tập tự luận
Câu 1: Viết một phân số mới bằng phân số 5/9 sao cho mẫu của phân số mới gấp 7 lần mẫu của phân số cũ
Ta có:
Vậy phân số mới cần tìm là 35/63
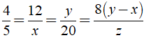
Câu 2: Tìm các số x, y, z thỏa mãn:


Trên đây VnDoc đã giới thiệu tới các bạn lý thuyết môn Toán học 6: Tính chất cơ bản của phân số. Để có kết quả cao hơn trong học tập, VnDoc xin giới thiệu tới các bạn học sinh tài liệu Chuyên đề Toán học 6, Giải bài tập Toán lớp 6, Giải SBT Toán 6, Giải VBT Toán lớp 6 mà VnDoc tổng hợp và giới thiệu tới các bạn đọc