Tính chất cơ bản của phép cộng phân số
Chuyên đề Tính chất cơ bản của phép cộng phân số do VnDoc tổng hợp tập trung làm rõ các quy tắc quan trọng như tính chất giao hoán, kết hợp và cộng với số 0, giúp học sinh tối ưu hóa quá trình tính toán một cách thông minh và chính xác. Với hệ thống lý thuyết tinh gọn cùng các dạng bài tập vận dụng từ cơ bản đến nâng cao, tài liệu này giúp các em học sinh nắm vững bản chất kiến thức, rèn luyện tư duy logic và nâng cao hiệu quả giải toán. Đây chính là hành trang không thể thiếu để các em tự tin chinh phục các bài kiểm tra và bồi dưỡng năng khiếu Toán học.
Chuyên đề: Tính chất cơ bản của phép cộng phân số
A. Lý thuyết
1. Các tính chất
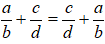
+ Tính chất giao hoán: ![]()
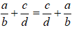
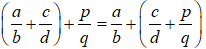
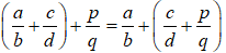
+ Tính chất kết hợp:
![]()
+ Cộng với số 0: ![]()
Ví dụ:


2. Áp dụng
Do các tính chất giao hoán và kết hợp của phép cộng, khi cộng nhiều phân số , ta có thể đổi chỗ hoặc nhóm các phân số lại theo bất cứ cách nào sao cho việc tính toán thuận lợi.
Ví dụ:
Tính tổng ![]()
Ta có:

B. Trắc nghiệm & Tự luận
I. Câu hỏi trắc nghiệm
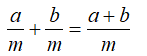
Câu 1: Chọn câu đúng . Với a; b; m ∈ Z; m ≠ 0 ta có :

Muốn cộng hai phân số cùng mẫu, ta cộng các tử và giữ nguyên mẫu

Chọn đáp án C
Câu 2: Phép cộng phân sô có tính chất nào sau đây?
A. Tính chất giao hoán
B. Tính chất kết hợp
C. Tính chất cộng với 0
D. Cả A, B, C đều đúng
Phép cộng phân số có các tính chất:
+ Tính chất giao hoán: khi đổi chỗ các phân số trong một tổng thì tổng không đổi
+ Tính chất kết hợp: Muốn cộng một tổng hai phân số với phân số thứ ba, ta có thể cộng phân số thứ nhất với tổng hai phân số còn lại
+ Tính chất cộng với 0: Tổng của một phân số với 0 bằng chính phân số đó
Chọn đáp án D
Câu 3: Tìm x biết


Chọn đáp án B
Câu 4: Tìm x biết x - 1/5 = 2 + -3/4


Chọn đáp án B
Câu 5: Tính hợp lí biểu thức
ta được kết quả là:
A. 9/5 B. 11/5 C. -11/5 D. -1/5

Chọn đáp án B
II. Bài tập tự luận
Câu 1: Tính nhanh



Câu 2: Cho
.
Hãy so sánh S với 1/2

Trên đây VnDoc đã giới thiệu tới các bạn lý thuyết môn Toán học 6: Tính chất cơ bản của phép cộng phân số. Để có kết quả cao hơn trong học tập, VnDoc xin giới thiệu tới các bạn học sinh tài liệu Chuyên đề Toán học 6, Giải bài tập Toán lớp 6, Giải SBT Toán 6, Giải VBT Toán lớp 6 mà VnDoc tổng hợp và giới thiệu tới các bạn đọc