Phép chia phân số
Chuyên đề Toán học lớp 6: Phép chia phân số được VnDoc sưu tầm và giới thiệu tới các bạn học sinh cùng quý thầy cô tham khảo. Nội dung tài liệu sẽ giúp các bạn học sinh học tốt môn Toán học lớp 6 hiệu quả hơn. Mời các bạn tham khảo.
Chuyên đề: Phép chia phân số
A. Lý thuyết
1. Số nghịch đảo
Hai số gọi là nghịch đảo của nhau nếu tích của chúng bằng 1
Ví dụ:
Số nghich đảo của 1/6 là 6; số nghịch đảo của -5 là -1/5.
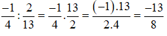
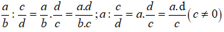
2. Phân chia phân số
Muốn chia một phân só hay một số nguyên cho một phân số, ta nhân số bị chia với số nghịch đảo của số chia
![]()
Ví dụ:

B. Trắc nghiệm & Tự luận
I. Câu hỏi trắc nghiệm
Câu 1: Phân số nghịch đảo của phân số 5/6 là
A. -(5/6) B. 6/5 C. -(6/5) D. 1
Phân số nghịch đảo của phân số 5/6 là 6/5
Chọn đáp án B
Câu 2: Phân số nghịch đảo của -3 là
A. 1 B. 3 C. 1/(-3) D. 1/3
Phân số nghịch đảo của -3 là 1/(-3)
Chọn đáp án C
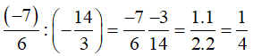
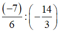
Câu 3: Tính
bằng
A. 3 B. 1 C. 1/3 D. 4/3
Ta có:
Chọn đáp án D
Câu 4: Kết quả của phép tính
là phân số có tử số là
A. 1/4 B. 1/2 C. -(1/2) D. 1
Ta có:
Chọn đáp án A
Câu 5: Tìm x biết 
A. 2/5 B. 338/125 C. 5/2 D. 125/338

Chọn đáp án B
II. Bài tập tự luận
Câu 1: Tính giá trị của biểu thức

Ta có:

Vậy A = 1/2
Câu 2: Tìm hai số, biết rằng 9/11 của số này bằng 6/7 của số kia và tổng của hai số đó là 258.
Số thứ nhất bằng
số thứ hai, 258 chính là giá trị của
số thứ hai
+ Số thứ hai là:
+ Số thứ nhất là: 258 - 126 = 132
Trên đây VnDoc đã giới thiệu tới các bạn lý thuyết môn Toán học 6: Phép chia phân số. Để có kết quả cao hơn trong học tập, VnDoc xin giới thiệu tới các bạn học sinh tài liệu Chuyên đề Toán học 6, Giải bài tập Toán lớp 6, Giải SBT Toán 6, Giải VBT Toán lớp 6 mà VnDoc tổng hợp và giới thiệu tới các bạn đọc