Tính chất cơ bản của phép nhân phân số
Chuyên đề Toán học lớp 6: Tính chất cơ bản của phép nhân phân số được VnDoc sưu tầm và giới thiệu tới các bạn học sinh cùng quý thầy cô tham khảo. Nội dung tài liệu sẽ giúp các bạn học sinh học tốt môn Toán học lớp 6 hiệu quả hơn. Mời các bạn tham khảo.
Chuyên đề: Tính chất cơ bản của phép nhân phân số
A. Lý thuyết
1. Các tính chất
+ Tính chất giao hoán: ![]()
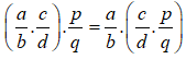
+ Tính chất kết hợp: 
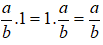
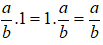
+ Nhân với số 1: ![]()
+ Nhân với số 0: ![]()
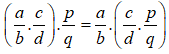
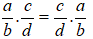
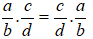
+ Tính chất phân phối của phép nhân đối với phép cộng:
![]()
Nhận xét:
Lũy thừa của một phân số: Với n ∈ N thừa số

2. Áp dụng
Do tính chất giao hoán và kết hợp của phép nhân. Khi nhân nhiều số, ta có thể đổi chỗ hoặc nhóm các phân số lại theo bất cứ cách nào sao cho việc tính toán được thuận tiện
Ví dụ: Tính tích ![]()
B. Trắc nghiệm & Tự luận
I. Câu hỏi trắc nghiệm
Câu 1: Chọn phát biểu đúng nhất trong các phát biểu sau:
A. Muốn nhân hai phân số, ta lấy tử số nhân với tử số, mẫu số nhân với mẫu số
B. Phân số nào nhân với 1 cũng bằng chính nó
C. Phân số nào nhân với 0 cũng bằng 0
D. Cả A, B, C đều đúng
Muốn nhân hai phân số, ta lấy tử sô nhân với tử số , mẫu số nhân với mẫu số
Phân số nào nhân với 1 cũng bằng chính nó
Phân số nào nhân với 0 cũng bằng 0
Vậy cả A, B, C đều đúng
Chọn đáp án D
Câu 2: Phép nhân phân số có những tính chất nào ?
A. Tính chất giao hoán
B. Tính chất kết hợp
C. TÍnh chất nhân phân phối
D. Tât cả các tính chất trên
Phép nhân phân số cũng có các tính chất tương tự phép nhân số tự nhiên như tính chất giao hoán, tính chất kết hợp, tính chất phân phối
Chọn đáp án D
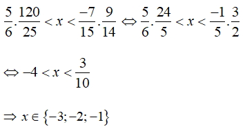
Câu 3: Tìm số nguyên x biết 
A. x ∈ {-3; -2; -1} B. x ∈ {-4; -3; -2; -1}
C. x ∈ {-3; -2} D. x ∈ {-3; -2; -1; 0}

Chọn đáp án A
Câu 4: Tính 
A. -15/28 B. -9/28 C. -5/8 D. -7/8

Chọn đáp án C
Câu 5: Có bao nhiêu giá trị nguyên dương của x thỏa mãn
A. 1 B. 0 C. 2 D. 3

Do yêu cầu đề bài x nguyên dương nên không co giá trị nào thỏa mãn
Chọn đáp án B
II. Bài tập tự luận
Câu 1: Tính giá trị các biểu thức sau:


Câu 2: Lúc 6 giờ 50 phút Việt đi xe đạp từ A đến B với vận tốc 15km/h. Lúc 7 giờ 10 phút bạn Nam đi xe đạp từ B để đến A với vận tốc 12km/h. Hai bạn gặp nhau ở C lúc 7 giờ 30 phút. Tính quãng đường AB.
Thời gian bạn Việt đi quãng đường AC là:
7h30ph – 6h45ph = 40ph = 2/3 (h)
Quãng đường AC dài: 15.(2/3) = 10 (km)
Thời gian bạn Nam đi quãng đường BC là:
7h30ph – 7hl0ph = 20ph = 1/3 h.
Quãng đường BC dài: 12.(1/3) = 4 (km).
Độ dài quãng đường AB là: 10 + 4 = 14 (km).
Trên đây VnDoc đã giới thiệu tới các bạn lý thuyết môn Toán học 6: Tính chất cơ bản của phép nhân phân số. Để có kết quả cao hơn trong học tập, VnDoc xin giới thiệu tới các bạn học sinh tài liệu Chuyên đề Toán học 6, Giải bài tập Toán lớp 6, Giải SBT Toán 6, Giải VBT Toán lớp 6 mà VnDoc tổng hợp và giới thiệu tới các bạn đọc