Khoa học tự nhiên 9 Cánh diều bài 9
VnDoc xin giới thiệu bài Khoa học tự nhiên 9 bài 9: Đoạn mạch song song có đáp án chi tiết cho từng câu hỏi chương trình sách mới. Thông qua đây các em học sinh đối chiếu với lời giải của mình, hoàn thành bài tập hiệu quả
Bài: Đoạn mạch song song
Mở đầu trang 49 KHTN 9: Chiếc đèn đội đầu ở hình 9.1 có thể điều chỉnh để sáng đồng thời cả hai đèn hoặc chỉ sáng một đèn. Trong trường hợp này, hai đèn được mắc như thế nào để có thể điều chỉnh được như vậy?

Lời giải:
Mạch mắc song song cho phép cả hai đèn hoạt động độc lập. Bạn có thể tắt hoặc bật mỗi đèn một cách riêng lẻ mà không ảnh hưởng đến trạng thái của đèn còn lại.
Câu hỏi 1 trang 49 KHTN 9: a) Vẽ vào và sơ đồ hình 9.3 khi đóng công tắc và biểu diễn chiều dòng điện trong mạch.
b) Với chiều dòng điện đã biểu diễn ở trên, các hạt mang điện sẽ dịch chuyến theo chiều nào trong đoạn mạch song song? Căn cứ vào đó, hãy dự đoán mối liên hệ của cường độ dòng điện qua các đoạn mạch khác nhau.
Lời giải:

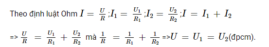
Cường độ dòng điện trong mạch chính bằng tổng cường độ dòng điện trong các mạch nhánh.
I = I1 + I2 + I3+...+In
Luyện tập 1 trang 50 KHTN 9: Mạch điện gồm một nguồn điện, một công tắc, hai điện trở giống nhau mắc song song. Một ampe kế được mắc nối tiếp với một điện trở vào một mạch nhánh. Em hãy vẽ sơ đồ của mạch điện này. Nếu số chỉ của ampe kế là 0,2 A thì cường độ dòng điện trong mạch chính là bao nhiêu?
Lời giải:

Cường độ dòng điện tương ứng của mạch điện I1 = 0,2 A.
Do hai điện trở giống nhau => R1 = R2 mà U1 = U2 => I1 = I2 = 0,2 A.
Cường độ dòng điện trong mạch chính I = I1 + I2 = 0,2+0,2 = 0,4A.
Thí nghiệm trang 50 KHTN 9: Từ bảng số liệu thu được, rút ra nhận xét về mối liên hệ giữa cường độ dòng điện trong mạch chính và cường độ dòng điện trong các mạch nhánh.
Lời giải:
Cường độ dòng điện trong mạch chính bằng tổng cường độ dòng điện trong các mạch nhánh.
I = I1+I2
Câu hỏi 2 trang 51 KHTN 9: Chứng tỏ điện trở tương đương R của đoạn mạch gồm hai điện trở mắc song song luôn nhỏ hơn mỗi điện trở thành phần R1 và R2.
Lời giải:
Theo công thức tính điện trở của đoạn dây dẫn, đoạn dây dẫn có tiết diện S càng lớn thì điện trở càng nhỏ, tức là dòng các hạt mang diện bị cản trở càng ít khi qua tiết diện càng lớn. Trong đoạn mạch gồm hai đoạn dây dẫn giống nhau mắc song song, dòng điện đồng thời qua các mạch nhánh nên tiết diện có dòng các hạt mang điện đi qua bằng tổng tiết diện của cả hai đoạn dây dẫn. Tiết diện này lớn hơn tiết diện của từng đoạn dây dẫn nên dòng chuyển dời này sẽ bị cản trở ít hơn khiến cho điện trở tương đương của đoạn mạch mắc song song sẽ nhỏ hơn mỗi điện trở thành phần.
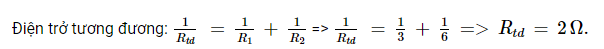
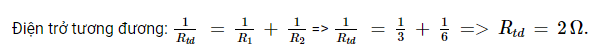
Câu hỏi 3 trang 51 KHTN 9: Tính điện trở tương đương của đoạn mạch gồm hai điện trở R1 = 3 Ω và
R2 = 6 Ω mắc song song.
Lời giải:
![]()
Luyện tập 2 trang 51 KHTN 9: Một đoạn mạch gồm hai điện trở R1 = 20 Ω và R2 = 30 Ω mắc song song vào nguồn điện. Hiệu điện thế giữa hai đầu đoạn mạch là 12 V.
a) Tính điện trở tương đương của đoạn mạch.
b) Tính cường độ dòng điện trong mạch chính.
Lời giải:

Luyện tập 3 trang 51 KHTN 9: Biết rằng đèn đội đầu ở hình 9.1 dùng một pin gồm hai đèn mắc song song, hãy trả lời câu hỏi ở hoạt động mở đầu và vẽ sơ đồ mạch điện của đèn này.
Lời giải:
Khi cần chỉ sáng một đèn, công tắc điều khiển sẽ chỉ cung cấp điện cho đèn đó, trong khi khi cần sáng cả hai đèn, công tắc sẽ mở hai mạch điện độc lập cho từng đèn. Điều này cho phép người sử dụng điều chỉnh đèn theo ý muốn của mình.
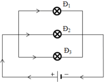
Vận dụng trang 51 KHTN 9: Có 3 đèn, 1 pin, cần mắc các đèn như thế nào để nếu một đèn bị hỏng thì các đèn còn lại vẫn có thể sáng bình thường.
Lời giải:
Mắc song song thì nếu một đèn bị hỏng thì các đèn còn lại vẫn có thể sáng bình thường.

Tìm hiểu thêm trang 51 KHTN 9: Sử dụng định luật Ohm và đặc điểm của cường độ dòng điện trong mạch điện song song, tìm mối liên hệ giữa hiệu điện thế hai đầu đoạn mạch nhánh và hiệu điện thế hai đầu đoạn mạch chính trong mạch điện hình 9.4.
Lời giải:

>>> Bài tiếp theo: Khoa học tự nhiên 9 Cánh diều bài 10
Trên đây là toàn bộ lời giải Giải SGK Khoa học tự nhiên lớp 9 bài 9: Đoạn mạch song song sách Cánh diều. Các em học sinh tham khảo thêm Ngữ văn 9 Cánh diều và Toán 9 Cánh diều. VnDoc liên tục cập nhật lời giải cũng như đáp án sách mới của SGK cũng như SBT các môn cho các bạn cùng tham khảo.