Khoa học tự nhiên 9 Cánh diều bài: Ôn tập chủ đề 9
Giải bài tập Khoa học tự nhiên lớp 9 bài: Ôn tập chủ đề 9 chi tiết sách Cánh diều giúp học sinh xem và so sánh lời giải từ đó biết cách làm bài tập môn KHTN 9.
Bài: Ôn tập chủ đề 9
Bài tập 1 trang 144 KHTN 9: Khi để một đoạn mía lâu ngày trong không khí, thấy đầu đoạn mía thường có mùi của ethylic alcohol. Giải thích hiện tượng trên.
Trả lời:
Đoạn đầu cây mía tiếp xúc trực tiếp với không khí, trong không khí có thể có một số vi khuẩn giúp phân hủy dần saccharose thành glucose, sau đó lên men glucose thành ethylic alcohol. Do vậy, lâu ngày đoạn đầu mía thường có mùi của ethylic alcohol.
Bài tập 2 trang 144 KHTN 9: Có ba chất rắn: tinh bột, cellulose, saccharose. Nêu cách phân biệt ba chất trên.
Trả lời:
- Lấy mẫu thử và đánh số thứ tự tương ứng.
- Cho các mẫu thử vào trong cốc thủy tinh, rồi cho thêm nước (nước nguội) và quấy đều.
+ Cốc nào chất rắn tan hết thì đó là saccharose.
+ Cốc nào không tan là tinh bột và cellulose.
- Nhỏ 1 giọt iodine vào 2 cốc thủy tinh còn lại
+ Cốc nào xuất hiện màu xanh tím là tinh bột.
+ Cốc nào không xuất hiện màu xanh tím là cellulose.
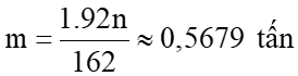
Bài tập 3 trang 144 KHTN 9: Quá trình sản xuất ethylic alcohol từ tinh bột có thể biểu diễn theo sơ đồ:
![]()
Biết hiệu suất chung của quá trình trên là 50%. Viết phương trình hóa học của các phản ứng theo sơ đồ trên. Tính khối lượng ethylic alcohol thu được từ 1 tấn tinh bột.
Trả lời:
Phương trình hóa học:

Ta có:

Khối lượng ethylic alcohol thu được là:

Bài tập 4 trang 144 KHTN 9: Khi cho chanh hoặc giấm vào sữa tươi và sữa đậu nành thấy có kết tủa xuất hiện. Giải thích.
Trả lời:
Khi cho chanh hoặc giấm (chứa acid hữu cơ) vào sữa tươi hoặc sữa đậu nành (chứa protein) thì thấy xuất hiện kết tủa do xảy ra sự đông tụ của protein trong môi trường acid.
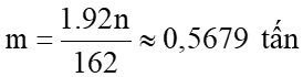
Bài tập 5 trang 144 KHTN 9: Viết phương trình hóa học của phản ứng trùng hợp để điều chế
polystyrene và trùng hợp CF2 = CF2 để điều chế poly(tetrafloroethylene).
Trả lời:
* Điều chế polystyrene

* Điều chế Poly(tetrafloroethylene)
![]()
>>> Bài tiếp theo: Khoa học tự nhiên 9 Cánh diều bài 30
Trên đây là toàn bộ lời giải Giải SGK Khoa học tự nhiên lớp 9 bài: Ôn tập chủ đề 9 sách Cánh diều. Các em học sinh tham khảo thêm Ngữ văn 9 Cánh diều và Toán 9 Cánh diều. VnDoc liên tục cập nhật lời giải cũng như đáp án sách mới của SGK cũng như SBT các môn cho các bạn cùng tham khảo.