Khoa học tự nhiên 9 Cánh diều bài: Ôn tập chủ đề 10
Chúng tôi xin giới thiệu bài Giải bài tập Khoa học tự nhiên lớp 9 bài: Ôn tập chủ đề 10 chi tiết sách Cánh diều giúp học sinh xem và so sánh lời giải từ đó biết cách làm bài tập môn KHTN 9.
Bài: Ôn tập chủ đề 10
Bài tập 1 trang 158 KHTN 9: Người ta thường bơm không khí vào hố gas hoặc đáy giếng sâu trước khi tiến hành thu gom rác hoặc nạo vét. Hãy cho biết nguyên nhân và mục đích của việc làm trên.
Trả lời:
Hố gas trong hệ thống dẫn nước thải hoặc đáy giếng sâu thường tích tụ rác thải nên tích tụ khí methane và một số chất độc hại khác; thiếu khí oxygen. Vì vậy, người ta thường bơm không khí vào hố gas hoặc đáy giếng sâu trước khi tiến hành thu gom rác hoặc nạo vét để giảm lượng khí methane và tăng lượng khí oxygen tránh được nguy cơ ngạt khí.
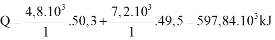
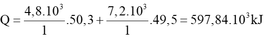
Bài tập 2 trang 158 KHTN 9: Một loại bình gas (loại 12 kg) được sử dụng trong gia đình chứa hỗn hợp gồm 4,8 kg propane và 7,2 kg butane. Biết nhiệt lượng sinh ra khi đốt cháy 1 gam propane là 50,3 kJ và khi đốt cháy 1 gam butane là 49,5 kJ. Tính nhiệt lượng sinh ra khi đốt cháy hết lượng khí trong bình gas trên.
Trả lời:
Nhiệt lượng sinh ra khi đốt cháy hết lượng khí trong bình gas là:

Mở rộng: 1 kg = 1 000 gam = 103 gam.
Bài tập 3 trang 158 KHTN 9: Theo em, nhiệt độ môi trường tăng cao do sự ấm lên toàn cầu sẽ ảnh hưởng như thế nào đến lượng oxygen hoà tan trong nước ở các khu vực nuôi cá?
Trả lời:
Khi nhiệt độ môi trường tăng cao do sự ấm lên toàn cầu sẽ ảnh hưởng rất lớn đến lượng oxygen hoà tan trong nước ở các khu vực nuôi cá. Khi nhiệt độ môi trường tăng cao thì giảm khả năng hòa tan của oxygen trong nước, từ đó dẫn đến nguy cơ thiếu oxygen ở các khu vực nước sâu. Vì thế cá nuôi có thể chết vì thiếu oxygen.
>>> Bài tiếp theo: Khoa học tự nhiên 9 Cánh diều bài 33
Trên đây là toàn bộ lời giải Giải SGK Khoa học tự nhiên lớp 9 bài: Ôn tập chủ đề 10 sách Cánh diều. Các em học sinh tham khảo thêm Ngữ văn 9 Cánh diều và Toán 9 Cánh diều. VnDoc liên tục cập nhật lời giải cũng như đáp án sách mới của SGK cũng như SBT các môn cho các bạn cùng tham khảo.