Tia phân giác của góc
Chuyên đề Toán học lớp 6: Tia phân giác của góc được VnDoc sưu tầm và giới thiệu tới các bạn học sinh cùng quý thầy cô tham khảo. Nội dung tài liệu sẽ giúp các bạn học sinh học tốt môn Toán học lớp 6 hiệu quả hơn. Mời các bạn tham khảo.
Chuyên đề: Tia phân giác của góc
A. Lý thuyết
1. Tia phân giác của một góc
Tia phân giác của một góc là tia nằm giữa hai cạnh của góc và tạo với hai cạnh ấy hai góc bằng nhau

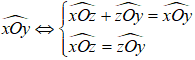
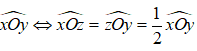
Từ định nghĩa ta suy ra
Tia Oz là tia phân giác của ∠xOy ⇔ ∠xOz = ∠zOy và tia Oz nằm giữa hai tia Ox; Oy
Hoặc tia Oz là tia phân giác cuả 
Hoặc tia Oz là tia phân giác của 
2. Cách vẽ tia phân giác của một góc
Cách 1: Dùng thức đo góc
Cách 2: Gấp giấy
Chú ý:
Đường thẳng chứa tia phân giác của một góc là đường phân giác của góc đó.
B. Trắc nghiệm & Tự luận
I. Câu hỏi trắc nghiệm
Câu 1: Chọn phát biểu sai trong các phát biểu sau:
A. Nếu tia Ot là tia phân giác của ∠xOy thì tia Ot nằm giữa hai tia Ox, Oy
B. Nếu tia Ot là tia phân giác của ∠xOy thì ∠xOt = ∠yOt = ∠xOy/2
C. Nếu ∠xOt = ∠yOt thì tia Ot là tia phân giác của ∠xOy
D. Nếu ∠xOt = ∠yOt và tia Ot nằm giữa hai tia Ox, Oy thì tia Ot là tia phân giác của ∠xOy
Nếu ∠xOt = ∠yOt và tia Ot nằm giữa hai tia Ox, Oy thì tia Ot là tia phân giác của ∠xOy nên C sai, D đúng
Chọn đáp án C.
Câu 2: Cho Ot là phân giác của ∠xOy. Biết ∠xOy = 100°, số đo của ∠xOt là:
A. 40° B. 6 0° C. 50° D. 200°
Vì Ot là phân giác của ∠xOy thì

Chọn đáp án C.
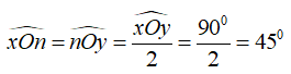
Câu 3: Cho ∠xOy là góc vuông có tia On là phân giác, số đo của ∠xOn là:
A. 40° B. 90° C. 45° D. 85°
Vì On là tia phân giác của ∠xOy nên

Chọn đáp án C.
Câu 4: Cho tia On là tia phân giác của ∠mOt. Biết ∠mOn = 70°, số đo của ∠mOt là:
A. 140° B. 120° C. 35° D. 60°
Vì tia On là tia phân giác của ∠mOt nên

Chọn đáp án A.
Câu 5: Cho ∠AOB = 90° và tia OB là tia phân giác của góc AOC . Khi đó góc AOC là:
A. Góc vuông B. Góc nhọn C. Góc tù D. Góc bẹt

Vì tia là tia phân giác của góc nên
Do đó![]()
Nên góc AOC là góc bẹt.
Chọn đáp án D.
Câu 6: Cho ∠AOC = 60°. Vẽ tia OB sao cho OA là tia phân giác của ∠BOC . Tính số đo của ∠AOB và ∠BOC


Vì OA là tia phân giác của ∠BOC nên ta có:

Chọn đáp án D.
II. Bài tập tự luận
Câu 1: Cho đường thẳng xx' và một điểm O nằm trên đường thẳng ấy. Trên hai nửa mặt phẳng đối nhau bờ là đường thẳng xx', lấy hai điểm A, B sao cho ∠x'OA = 150° và ∠BOx = 30°. Chứng tỏ Ox là tia phân giác của góc ∠AOB ?

Ta có: ∠x'OA và ∠xOA là hai góc kề bù, ta tính được: ∠xOA = 30°
Tia Ox nằm giữa hai tia OA, OB và ∠xOA = ∠xOB
Suy ra Ox là tia phân giác của góc ∠AOB
Câu 2: Vẽ 2 góc kề bù ∠xOy và ∠x'Oy, biết xOy = 130°, Gọi Ot là tia phân giác của ∠xOy. Hãy tính:
a) ∠yOt = ?; ∠x'Ot = ?
b) Vẽ tia phân giác On của ∠x'Oy. Tính góc ∠nOt = ?

a) Vì tia Ot là tia phân giác của ∠xOy

Trên đây VnDoc đã giới thiệu tới các bạn lý thuyết môn Toán học 6: Tia phân giác của góc. Để có kết quả cao hơn trong học tập, VnDoc xin giới thiệu tới các bạn học sinh tài liệu Chuyên đề Toán học 6, Giải bài tập Toán lớp 6, Giải SBT Toán 6, Giải VBT Toán lớp 6 mà VnDoc tổng hợp và giới thiệu tới các bạn đọc